32012R0547[1]
A Bizottság 547/2012/EU rendelete ( 2012. június 25. ) a 2009/125/EK európai parlamenti és tanácsi irányelvnek a vízszivattyúk környezetbarát tervezésére vonatkozó követelmények tekintetében történő végrehajtásáról
A BIZOTTSÁG 547/2012/EU RENDELETE
(2012. június 25.)
a 2009/125/EK európai parlamenti és tanácsi irányelvnek a vízszivattyúk környezetbarát tervezésére vonatkozó követelmények tekintetében történő végrehajtásáról
(EGT-vonatkozású szöveg)
1. cikk
Tárgy és hatály
(1) Ez a rendelet környezetbarát tervezési követelményeket állapít meg a tiszta víz szivattyúzására szolgáló örvényszivattyúk forgalomba hozatalára vonatkozóan, beleértve azt az esetet is, amikor az említett vízszivattyúk más termékbe vannak beépítve.
(2) Ez a rendelet nem alkalmazandó:
a) a kifejezetten tiszta víz - 10 °C-nál alacsonyabb vagy 120 °C-nál magasabb hőmérsékleten történő szivattyúzására tervezett vízszivattyúkra, kivéve a II. melléklet 2. szakaszának 11-13. pontja vonatkozásában;
b) a kizárólag tűzoltási célú alkalmazásokban való felhasználásra tervezett vízszivattyúkra;
c) a térfogat-kiszorításos vízszivattyúkra;
d) az önfelszívó vízszivattyúkra.
2. cikk
Fogalommeghatározások
A 2009/125/EK irányelv fogalommeghatározásain túlmenően e rendelet alkalmazásában:
1. "vízszivattyú" :
készülék olyan hidraulikus része, amely fizikai vagy mechanikai behatás útján tiszta vizet mozgat, és a következő típusok valamelyikébe tartozik:
- saját csapágyazású csigaházas (ESOB),
- közvetlen hajtású csigaházas (ESCC),
- közvetlen hajtású axiális átömlésű csigaházas (ESCCi),
- függőleges tengelyű többfokozatú (MS-V),
- merülőmotoros többfokozatú (MSS);
2. "csigaházas vízszivattyú" : víz szivattyúzására szolgáló, legfeljebb 16 bar nyomásra tervezett, 6 rpm és 80 rpm közötti ns jellemző fordulatszámú, legalább 6 m3/h (1,667×10-3 m3/s) mért térfogatáramú, legfeljebb 150 kW tengelyteljesítményű, 1 450 rpm névleges fordulatszám mellett legfeljebb 90 m és 2 900 rpm névleges fordulatszám mellett legfeljebb 140 m szállítómagasságú egyfokozatú tömszelencés csigaházas örvényszivattyú;
3. "mért térfogatáram" : a gyártó által rendes üzemi körülmények között garantált szállítómagasság és térfogatáram;
4. "tömszelencés" : a szivattyútestben lévő járókerék és a motor között hézagmentes tengelykapcsolattal rendelkező. A motor meghajtást végző alkatrésze mindvégig száraz marad;
5. "saját csapágyazású csigaházas vízszivattyú" (ESOB) : saját csapágyazással rendelkező csigaházas vízszivattyú;
6. "közvetlen hajtású csigaházas vízszivattyú" (ESCC) : olyan csigaházas vízszivattyú, amelyben a szivattyú tengelye a motortengely merev meghosszabbítása;
7. "közvetlen hajtású axiális átömlésű csigaházas vízszivattyú" (ESCCi) : olyan vízszivattyú, amelynek szívó- és nyomócsonkja egyetlen tengely mentén helyezkedik el;
8. "függőleges tengelyű többfokozatú vízszivattyú" (MS-V) : olyan, víz szivattyúzására szolgáló, legfeljebb 25 bar nyomásra tervezett, 2 900 rpm névleges fordulatszámú, legfeljebb 100 m3/h (27,78×10-3 m3/s) térfogatáramú, többfokozatú (i > 1) tömszelencés örvényszivattyú, amelynek járókerekei függőleges forgó tengelyre vannak felszerelve;
9. "merülőmotoros többfokozatú vízszivattyú" (MSS) : víz szivattyúzására szolgáló, 4″ (10,16 cm) vagy 6″ (15,24 cm) névleges külső átmérőjű, fúrt lyukban, 2 900 rpm névleges fordulatszámon való üzemre tervezett, 0 °C és 90 °C közötti üzemi hőmérsékletű, többfokozatú (i > 1) örvényszivattyú;
10. "víz szivattyúzására szolgáló örvényszivattyú" : tiszta vizet hidrodinamikai elven mozgató vízszivattyú;
11. "térfogat-kiszorításos vízszivattyú" : tiszta vizet a víztest egy részének a többitől való elkülönítésével és a szivattyú nyomócsonkja felé való terelésével mozgató vízszivattyú;
12. "önfelszívó vízszivattyú" : tiszta vizet mozgató olyan vízszivattyú, amely úgy is indítható és/vagy üzemeltethető, hogy közben csak részben van telve vízzel;
13. "tiszta víz" : olyan víz, amely legfeljebb 0,25 kg/m3 szabad állapotú nem abszorbens szilárd anyagot és legfeljebb 50 kg/m3 oldott szilárd anyagot tartalmaz, és amelynek teljes gáztartalma nem haladja meg a telítési értéket. Figyelmen kívül kell hagyni azokat az adalékszereket, amelyek ahhoz szükségesek, hogy - 10 °C hőmérsékletig megakadályozzák a víz fagyását.
A II-V. mellékletben alkalmazandó fogalommeghatározásokat az I. melléklet tartalmazza.
3. cikk
A környezetbarát tervezés követelményei
A víz szivattyúzására szolgáló örvényszivattyúkra alkalmazandó minimális hatásfok-követelményeket és termékinformációs követelményeket a II. melléklet tartalmazza.
A környezetbarát tervezésre vonatkozó követelményeket a következő időütemezésnek megfelelően kell alkalmazni:
1. 2013. január 1-jétől a vízszivattyúk hatásfokának teljesítenie kell a II. melléklet 1. szakaszának a) pontjában foglalt minimumkövetelményeket.
2. 2015. január 1-jétől a vízszivattyúk hatásfokának teljesítenie kell a II. melléklet 1. szakaszának b) pontjában foglalt minimumkövetelményeket.
3. 2013. január 1-jétől a vízszivattyúkról nyújtott tájékoztatásnak teljesítenie kell a II. melléklet 2. szakaszában foglalt követelményeket.
A környezetbarát tervezésre vonatkozó követelmények teljesülését a III. mellékletben megállapított követelményeknek megfelelő mérések és számítások alapján kell ellenőrizni.
A 2009/125/EK irányelv I. mellékletének 1. részében a környezetbarát tervezésre vonatkozóan előírt további követelményeket nem szükséges figyelembe venni.
4. cikk
A megfelelőség értékelése
A 2009/125/EK irányelv 8. cikkének (2) bekezdése alkalmazásában megfelelőségértékelési eljárásként az említett irányelv IV. mellékletében meghatározott belső tervezés-ellenőrzési rendszert vagy az említett irányelv V. mellékletében meghatározott megfelelőségértékelési irányítási rendszert kell alkalmazni.
5. cikk
Piacfelügyeleti célú vizsgálatok
A 2009/125/EK irányelv 3. cikkének (2) bekezdése szerinti, az e rendelet II. mellékletében meghatározott környezetbarát tervezési követelmények ellenőrzésére irányuló piacfelügyeleti célú vizsgálatok elvégzése során a tagállamok hatóságai az e rendelet IV. mellékletében előírt ellenőrzési eljárást alkalmazzák.
6. cikk
Indikatív referenciaértékek
Az e rendelet hatálybalépésének időpontjában a piacon hozzáférhető, legkedvezőbb működési jellemzőkkel rendelkező vízszivattyúk indikatív referenciaértékeit az V. melléklet tartalmazza.
7. cikk
Felülvizsgálat
A Bizottság ezt a rendeletet a technológia fejlődése fényében felülvizsgálja, és e felülvizsgálat eredményeit legkésőbb e rendelet hatálybalépését követően négy évvel a konzultációs fórum elé tárja. A felülvizsgálatnak a szabályozás alá vont termékek körének szélesítését kell céloznia.
A Bizottság 2014. január 1-jéig felülvizsgálja az energiahatékonyság számítási módszerében alkalmazott tűréseket.
8. cikk
Hatálybalépés
Ez a rendelet az Európai Unió Hivatalos Lapjában való kihirdetését követő huszadik napon lép hatályba.
Ez a rendelet teljes egészében kötelező és közvetlenül alkalmazandó valamennyi tagállamban.
I. MELLÉKLET
Fogalommeghatározások a II-V. melléklethez
A II-V. melléklet alkalmazásában:
1. "járókerék" : az örvényszivattyú forgó alkatrésze, amely energiát ad át a víznek;
2. "teljes méretű járókerék" : az a legnagyobb átmérőjű járókerék, amelyre a vízszivattyúgyártók katalógusai az egyes szivattyúméretek esetében a szivattyú üzemi jellemzőit megadják;
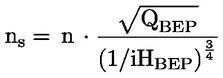
3. "jellemző fordulatszám" (n
s
) :
fordulatszám dimenzióban kifejezett, a vízszivattyú-járókerék alakjára jellemző, a szállítómagasságtól, a térfogatáramtól és a fordulatszámtól (n) függő érték:
[Kép #1] [min-1]

Kép #1
ahol:
- "szállítómagasság" (H) : a jelleggörbe adott pontjában a vízszivattyú által a víz hidraulikus energiájában előidézett növekmény méterben [m],
- "fordulatszám" (n) : a tengely által egy perc alatt megtett fordulatok száma [rpm],
- "térfogatáram" (Q) : a vízszivattyún időegység alatt átáramló víztérfogat [m3/s],
- "fokozatszám" (i) : a vízszivattyú-járókerék sorszáma az egymással sorba kötött járókerekek között,
- "normálpont" (BEP) : a jelleggörbe azon pontja, amelyben a vízszivattyú - tiszta hideg vízzel mérve - a maximális hidraulikai hatásfoka mellett működik;
4. a szivattyú"hidraulikai hatásfoka" (η) : a szivattyún való áthaladása közben a folyadéknak átadott mechanikai teljesítmény és a szivattyú által a tengelyen felvett mechanikai teljesítmény hányadosa;
5. "tiszta hideg víz" : a szivattyú vizsgálataiban alkalmazott, legfeljebb 1,5 × 10-6 m2/s kinematikai viszkozitású, legfeljebb 1 050 kg/m3 sűrűségű és legfeljebb 40 °C hőmérsékletű tiszta víz;
6. "részterhelési pont" (PL) : a vízszivattyú jelleggörbéjének a normálponthoz tartozó térfogatáram 75 %-ához tartozó pontja;
7. "túlterhelési pont" (OL) : a vízszivattyú jelleggörbéjének a normálponthoz tartozó térfogatáram 110 %-ához tartozó pontja;
8. "minimális hatásfokmutató" (MEI) : a szivattyú hidraulikai hatásfokának a normálpontra (BEP), a részterhelési pontra (PL) és a túlterhelési pontra (OL) vonatkoztatott, dimenzió nélküli mérőszáma;
9. "C érték" : a vízszivattyú típusát jellemző állandó, amely lehetővé teszi a különböző típusú szivattyúk hatásfokai közötti különbségek számszerűsítését.
II. MELLÉKLET
A vízszivattyúk környezetbarát tervezésére vonatkozó követelmények
1. HATÁSFOK-KÖVETELMÉNYEK
a) 2013. január 1-jétől a vízszivattyúk minimális hatásfokának:
- a normálpontban (BEP) legalább (ηΒΕΡ)min requ-nek a III. mellékletben előírt méréssel meghatározott és a III. melléklet szerint a MEI = 0,1-hez tartozó C értékkel számított értékével kell megegyeznie,
- minimális hatásfokának a részterhelési pontban (PL) legalább (ηΡL)min requ-nek a III. mellékletben előírt méréssel meghatározott és a III. melléklet szerint a MEI = 0,1-hez tartozó C értékkel számított értékével kell megegyeznie,
- minimális hatásfokának a túlterhelési pontban (OL) legalább (ηΟL)min requ-nek a III. mellékletben előírt méréssel meghatározott és a III. melléklet szerint a MEI = 0,1-hez tartozó C értékkel számított értékével kell megegyeznie;
b) 2015. január 1-jétől a vízszivattyúk:
- minimális hatásfokának a normálpontban (BEP) legalább (ηΒΕΡ)min requ-nek a III. mellékletben előírt méréssel meghatározott és a III. melléklet szerint a MEI = 0,4-hez tartozó C értékkel számított értékével kell megegyeznie,
- minimális hatásfokának a részterhelési pontban (PL) legalább (ηΡL)min requ-nek a III. mellékletben előírt méréssel meghatározott és a III. melléklet szerint a MEI = 0,4-hez tartozó C értékkel számított értékével kell megegyeznie,
- minimális hatásfokának a túlterhelési pontban (OL) legalább (ηΟL)min requ-nek a III. mellékletben előírt méréssel meghatározott és a III. melléklet szerint a MEI = 0,4-hez tartozó C értékkel számított értékével kell megegyeznie.
2. TERMÉKINFORMÁCIÓS KÖVETELMÉNYEK
2013. január 1-jétől az 1. cikk hatálya alá tartozó vízszivattyúk alábbi 1-15. pont szerinti adatait jól látható módon fel kell tüntetni:
a) a vízszivattyú műszaki dokumentációjában;
b) a vízszivattyú gyártójának nyilvánosan elérhető internetes oldalain.
Az adatokat az alábbi 1-15. pontban bemutatott sorrendben kell megadni. Az 1. és a 3-6. pontban meghatározott adatokat időtálló módon a vízszivattyú adattábláján vagy annak közelében is fel kell tüntetni:
1. minimális hatásfokmutató: MEI ≥ [x,xx];
2. a következő szabványos szöveg: "A legkedvezőbb hatásfokú vízszivattyúk minimális hatásfokmutatójának referenciaértéke: MEI ≥ 0,70", vagy rövidített formában: "Referencia MEI ≥ 0,70";
3. a gyártás éve;
4. a gyártó neve vagy védjegye, cégjegyzékszáma és működési helye;
5. a termék típusának és méretének jelzése;
6. a szivattyú hidraulikai hatásfoka (%) csökkentett méretű járókerék alkalmazása esetén [xx,x] formátumban, vagy helyette pusztán a [-,-] jelzés;
7. a szivattyú jelleggörbéi a hatásfok jellemző értékeinek feltüntetésével;
8. a következő szabványos szöveg: "Csökkentett méretű járókerék alkalmazása esetén a szivattyú hatásfoka általában kisebb, mint a teljes méretű járókerékkel ellátott szivattyúé. A járókerék méretének csökkentésével a szivattyú az adott üzemi körülményekhez igazítható, ami az energiafogyasztás csökkenését eredményezi. A minimális hatásfokmutató (MEI) értéke a teljes méretű járókerékhez tartozik.";
9. a következő szabványos szöveg: "E vízszivattyú különböző üzemi körülmények között történő üzemeltetése hatékonyabb és gazdaságosabb lehet akkor, ha olyan frekvenciaváltóval együtt kerül alkalmazásra, amely a szivattyú üzemi körülményeit a rendszerhez igazítja.";
10. az életciklus végén elvégzendő szétszerelésre, újrafeldolgozásra és ártalmatlanításra vonatkozó információk;
11. a kizárólag tiszta víz - 10 °C-nál alacsonyabb hőmérsékleten történő szivattyúzására tervezett vízszivattyúk esetében a következő szabványos szöveg: "Kizárólag - 10 °C alatti hőmérsékletre.";
12. a kizárólag tiszta víz 120 °C-nál magasabb hőmérsékleten történő szivattyúzására tervezett vízszivattyúk esetében a következő szabványos szöveg: "Kizárólag 120 °C feletti hőmérsékletre.";
13. a kifejezetten tiszta víz - 10 °C-nál alacsonyabb vagy 120 °C-nál magasabb hőmérsékleteken történő szivattyúzására tervezett szivattyúk esetében a gyártónak meg kell adnia a felhasznált releváns műszaki paramétereket és jellemzőket;
14. a következő szabványos szöveg: "A referencia-hatásfokról a következő internetcímen olvasható tájékoztatás: [www.xxxxxxxxx.xxx].";
15. a szivattyú referencia-hatásfokgörbéje MEI = 0,7-re, az ábra modelljét követve. Hasonló hatásfokgörbét kell megadni MEI = 0,4-re is.
Ábra Példa a referencia-hatásfokgörbére (ESOB 2900) [Kép #2]

Kép #2
Lehetőség van további információk, grafikonok, számadatok és jelölések megadására is.
III. MELLÉKLET
Mérések és számítások
Az e rendeletben foglalt követelmények teljesülése és teljesülésük ellenőrzése céljából végzett méréseket és számításokat az Európai Unió Hivatalos Lapjában közzétett hivatkozási számú harmonizált szabványoknak megfelelően vagy más olyan megbízható, pontos és megismételhető módszerekkel kell végezni, amelyek igazodnak az általánosan korszerűként elfogadott módszertanhoz, és amelyek vélhetően kis bizonytalanságú eredményeket szolgáltatnak. Ezeknek a méréseknek és számításoknak valamennyi alábbi műszaki feltételt teljesíteniük kell.
A szivattyúnak az I. melléklet fogalommeghatározása értelmében vett hidraulikai hatásfokát - teljes méretű járókerékkel és tiszta hideg víz felhasználásával - a normálpontban (BEP), a részterhelési pontban (PL) és a túlterhelési pontban (OL) érvényes szállítómagasság és térfogatáram mellett kell megmérni.
A normálponthoz (BEP) tartozó előírt minimális hatásfokot a következő összefüggés segítségével kell meghatározni:

ahol:
x = ln (ns); y = ln (Q), továbbá ln a természetes logaritmus jele, Q a térfogatáram [m3/h], ns a jellemző fordulatszám [min-1], C pedig a táblázat szerinti érték.
C értéke a szivattyú típusától és névleges fordulatszámától, valamint a MEI értékétől függ.
Táblázat
A minimális hatásfokmutató (MEI) értéke és a hozzá tartozó C érték a szivattyú típusa és fordulatszáma függvényében
C érték a MEI függvényében Csziv.típus,rpm | MEI = 0,10 | MEI = 0,40 |
C (ESOB, 1 450 ) | 132,58 | 128,07 |
C (ESOB, 2 900 ) | 135,60 | 130,27 |
C (ESCC, 1 450 ) | 132,74 | 128,46 |
C (ESCC, 2 900 ) | 135,93 | 130,77 |
C (ESCCi, 1 450 ) | 136,67 | 132,30 |
C (ESCCi, 2 900 ) | 139,45 | 133,69 |
C (MS-V, 2 900 ) | 138,19 | 133,95 |
C (MSS, 2 900 ) | 134,31 | 128,79 |
A részterhelési ponthoz (PL) és a túlterhelési ponthoz (OL) tartozó előírt értéket a 100 %-os térfogatáramhoz (ηΒΕΡ) tartozó előírt érték kismértékű csökkentésével kell meghatározni:
Valamennyi hatásfokérték teljes (nem csökkentett) méretű járókerék mellett érvényes. A függőleges tengelyű többfokozatú szivattyúkat 3 fokozatú kivitelben (i = 3) kell mérni. A merülőmotoros többfokozatú szivattyúkat 9 fokozatú kivitelben (i = 9) kell mérni. Ha az adott termékcsalád ezt a fokozatszámot nem támogatja, akkor a vizsgálatot a hozzá legközelebbi, a termékcsalád által támogatott nagyobb fokozatszám mellett kell elvégezni.
IV. MELLÉKLET
A termék megfelelésének vizsgálata a piacfelügyeleti hatóságok által
Az e mellékletben meghatározott ellenőrzési tűrések kizárólag a méréssel meghatározott paramétereknek a tagállami hatóságok általi ellenőrzésére vonatkoznak, a gyártó és az importőr nem használhatja fel őket megengedett tűrésként a műszaki dokumentációban szereplő értékek meghatározására vagy ezeknek az értékeknek a megfelelés kimutatása céljából történő értelmezésére, sem pedig a kedvezőbb működési tulajdonságok bárminemű kommunikálására.
Amikor a 2009/125/EK irányelv 3. cikkének (2) bekezdésével összhangban azt vizsgálják, hogy egy termékmodell teljesíti-e az e rendelet II. mellékletében meghatározott követelményeket, a tagállami hatóságok az e mellékletben említett követelmények tekintetében a következő eljárást alkalmazzák:
1. A tagállami hatóságok a modellből egyetlen darabot vetnek vizsgálat alá.
2. Úgy kell tekinteni, hogy a modell teljesíti a vizsgált követelményeket, ha:
a) a műszaki dokumentációban a 2009/125/EK irányelv IV. mellékletének 2. pontja szerint megadott értékek (a továbbiakban: megadott értékek), valamint - ha alkalmazandó - az ezen értékek meghatározásához felhasznált értékek nem kedvezőbbek a gyártóra vagy az importőrre nézve, mint az említett melléklet 2. g) pontjával összhangban elvégzett megfelelő mérések eredményei; és
b) a megadott értékek teljesítik az e rendeletben meghatározott valamennyi követelményt, továbbá a gyártó és az importőr által az előírásoknak megfelelően közzétett termékinformációk nem tartalmaznak a gyártóra vagy az importőrre nézve a megadott értékeknél kedvezőbb értékeket; és
c) akkor, amikor a tagállami hatóságok a modell adott darabját vizsgálatnak vetik alá, a meghatározott értékek (az egyes paramétereknek a vizsgálat során méréssel meghatározott értékei, illetőleg az ezen értékek alapján számítással meghatározott értékek) a 2. táblázatban megadott ellenőrzési tűréseken belül vannak.
3. Ha a 2. a) és a 2. b) pontban foglalt feltételek nem teljesülnek, akkor úgy kell tekinteni, hogy a modell nem teljesíti e rendelet követelményeit.
4. Ha a 2. c) pontban meghatározott feltétel nem teljesül, a tagállami hatóságok három további, ugyanahhoz a modellhez tartozó darabot újabb vizsgálatnak vetnek alá.
5. Úgy kell tekinteni, hogy a modell teljesíti a rá vonatkozó követelményeket, ha e három darab vonatkozásában a meghatározott értékek számtani középértéke a 2. táblázat szerinti ellenőrzési tűréseken belül van.
6. Ha az 5. pontban meghatározott feltétel nem teljesül, akkor úgy kell tekinteni, hogy a modell nem teljesíti e rendelet követelményeit.
7. A modell nem megfelelő voltának a 3. és a 6. pont szerinti megállapítását követően a tagállami hatóságok minden lényeges információt haladéktalanul átadnak a többi tagállam hatóságainak és a Bizottságnak.
A tagállami hatóságok a fenti vizsgálatok során a III. mellékletben meghatározott mérési és számítási módszereket alkalmazzák.
A tagállami hatóságok az e mellékletben foglalt követelmények teljesülésének ellenőrzésére kizárólag a 2. táblázatban meghatározott ellenőrzési tűréseket és kizárólag az 1-7. pontban leírt eljárást alkalmazzák. Semmilyen más - például harmonizált szabványban vagy más mérési módszerben meghatározott - tűrés nem alkalmazható.
2. táblázat
Ellenőrzési tűrések
Paraméter | Ellenőrzési tűrés |
A normálponthoz (BEP) tartozó hatásfok (ηΒΕΡ) | A meghatározott érték nem lehet kisebb 5 %-nál nagyobb mértékben a megadott értéknél. |
A részterhelési ponthoz (PL) tartozó hatásfok (ηΡL ) | A meghatározott érték nem lehet kisebb 5 %-nál nagyobb mértékben a megadott értéknél. |
A túlterhelési ponthoz (OL) tartozó hatásfok (ηΟL ) | A meghatározott érték nem lehet kisebb 5 %-nál nagyobb mértékben a megadott értéknél. |
V. MELLÉKLET
Indikatív referenciaértékek a 6. cikk alkalmazásában
Az e rendelet hatálybalépésének időpontjában a vízszivattyúk piacán hozzáférhető legjobb technológia minimális hatásfokmutatója, amely indikatív referenciaértékként vehető figyelembe, (MEI) ≥ 0,70.
Lábjegyzetek:
[1] A dokumentum eredetije megtekinthető CELEX: 32012R0547 - https://eur-lex.europa.eu/legal-content/HU/ALL/?uri=CELEX:32012R0547&locale=hu Utolsó elérhető, magyar nyelvű konszolidált változat CELEX: 02012R0547-20170109 - https://eur-lex.europa.eu/legal-content/HU/ALL/?uri=CELEX:02012R0547-20170109&locale=hu