32014R0548[1]
A Bizottság 548/2014/EU rendelete ( 2014. május 21. ) a 2009/125/EK európai parlamenti és tanácsi irányelvnek a kis, közepes és nagy teljesítményű transzformátorok környezettudatos tervezésére vonatkozó követelmények tekintetében történő végrehajtásáról
A BIZOTTSÁG 548/2014/EU RENDELETE
(2014. május 21.)
a 2009/125/EK európai parlamenti és tanácsi irányelvnek a kis, közepes és nagy teljesítményű transzformátorok környezettudatos tervezésére vonatkozó követelmények tekintetében történő végrehajtásáról
1. cikk
A rendelet tárgya és hatálya
(1) Ez a rendelet az 50Hz-es villamosenergia-szállító és -elosztó hálózatokban használt vagy ipari használatra szánt, 1 kVA minimális mért teljesítményű transzformátorok környezettudatos tervezésére vonatkozó forgalombahozatali és használatbavételi követelményeket állapítja meg. A rendelet kizárólag a hatálybalépését követően megvásárolt transzformátorokra vonatkozik.
(2) Nem tartoznak e rendelet hatálya alá azok a transzformátorok, amelyeket kifejezetten a felsorolt célokra terveztek és használnak:
- kifejezetten mérőműszerek, mérőeszközök, relék és egyéb, hasonló rendeltetésű készülékek tápellátására tervezett mérőtranszformátorok
- kifejezetten az egyenáramú tápellátást biztosító egyenirányítókhoz való használatra tervezett, kisfeszültségű tekercseléssel ellátott transzformátorok
- közvetlenül kemencéhez való csatlakoztatásra szánt transzformátorok
- kifejezetten tengeri vagy úszó tengeri alkalmazásokba tervezett transzformátorok
- kifejezetten vészhelyzeti létesítményekben való használatra tervezett transzformátorok
- kifejezetten a vasúti energiahálózat betápláló rendszeréhez tervezett transzformátorok és autotranszformátorok
- földelő transzformátorok, azaz üzemi földelés nullapontját biztosító háromfázisú transzformátorok
- vasúti alkalmazások helyhez kötött létesítményeiben használt, gördülőállományra szerelt vontatási transzformátorok, amelyek közvetlenül vagy konverteren keresztül egyenáramú vagy váltakozó áramú vezetékhez van csatlakoztatva
- kifejezetten a háromfázisú indukciós motorok indítására, s így az esetleges tápfeszültségesések kivédésére tervezett indítótranszformátorok
- elektromos berendezések tesztelése céljából kifejezetten egy megadott feszültséget vagy áramerősséget biztosító áramkörben való használatra tervezett próbatranszformátorok
- kifejezetten az ívhegesztéshez vagy ellenállás-hegesztéshez használt berendezésekhez tervezett hegesztőtranszformátorok
- kifejezetten a robbanásbiztos és a mélyműveléses bányászati alkalmazásokban való használatra tervezett transzformátorok ( 1 )
- kifejezetten a mélyvízi (víz alatti) alkalmazásokba szánt transzformátorok
- középfeszültség (MV) és középfeszültség (MV) közötti átalakítást végző transzformátorok 5 MVA teljesítményig
- nagy teljesítményű transzformátorok azokban az egyedi alkalmazásokban, amelyekben a transzformátorok energiafelhasználási hatásfokára vonatkozóan a rendeletben meghatározott minimumkövetelmények teljesítéséhez bizonyítottan nem állnak rendelkezésre műszakilag kivitelezhető más megoldások
- nagy teljesítményű transzformátorok, amelyek egy az egyben más, meglévő nagy teljesítményű transzformátorokat helyettesítenek fizikailag ugyanazon a helyen/létesítményben, amennyiben a helyettesítés csak aránytalanul magas szállítási és/vagy beszerelési költségek mellett valósulhat meg
az I. melléklet 3. és 4. pontjában meghatározott termékinformációs követelmények és műszaki dokumentációk kivételével, amelyek a fentiekre is vonatkoznak.
2. cikk
Fogalommeghatározások
E rendeletnek és mellékleteinek az alkalmazásában:
1. "transzformátor": legalább két tekerccsel rendelkező, statikus készülék, amely - az elektromágneses indukció elve alapján - adott váltakozó feszültséggel és áramerősséggel jellemezhető villamos energiát általában más váltakozó feszültségű és áramerősségű, azonos frekvenciájú villamos energiává alakít át annak továbbítása céljából;
2. "kis teljesítményű transzformátor": legfeljebb 1,1 kV legnagyobb kimeneti feszültséget leadó transzformátor;
3. "közepes teljesítményű transzformátor": az 1,1 kV-nál nagyobb, de legfeljebb 36 kV legnagyobb kimeneti feszültséget és legalább 5 kVA, de 40 MVA-nél kisebb mért teljesítményt leadó transzformátor;
4. "nagy teljesítményű transzformátor": a 36 kV-ot meghaladó legnagyobb kimeneti feszültséget és legalább 5 MVA mért teljesítményt leadó, illetve a legnagyobb kimeneti feszültségtől függetlenül legalább 40 MVA mért teljesítményt leadó transzformátor;
5. "folyadékhűtéses transzformátor": olyan transzformátor, amelynek mágnesköre és tekercsei folyadékba vannak merítve;
6. "száraztranszformátor": olyan transzformátor, amelynek mágnesköre és tekercsei nincsenek szigetelő folyadékba merítve;
7. "oszlopra szerelt, közepes teljesítményű transzformátor": legfeljebb 315 KVA mért teljesítményű, kültéri üzemre szánt, felsővezeték-tartó szerkezetre szerelhető transzformátor;
8. "feszültségszabályozó és -elosztó transzformátor": a transzformátorszekrényen belül vagy kívül olyan kiegészítő komponenseket tartalmazó, közepes teljesítményű transzformátor, amelyek a terhelési üzemi feszültség szintjének beállítása céljából automatikusan szabályozni tudják a transzformátor bemeneti és kimeneti feszültségét;
9. "tekercs": menetesen feltekercselt áramkör, amely a transzformátorhoz rendelt feszültségszintek egyikéhez van társítva;
10. "tekercs mért feszültsége (Ur)": meg nem csapolt tekercs, illetve a fő leágaztatáshoz csatlakozó, megcsapolt tekercs két kapcsa közötti kimenő vagy üresjáráskor gerjedő feszültség;
11. "nagyfeszültségű tekercs": a legnagyobb mért feszültségű tekercs;
12. "legnagyobb kimeneti feszültség (Um)": a transzformátortekercs legnagyobb effektív vonalfeszültsége abban a háromfázisú rendszerben, amelybe a transzformátortekercset szigetelése alapján szánták.
13. "mért teljesítmény" (Sr): a tekercshez rendelt látszólagos teljesítmény szokványos értéke, amely a tekercs mért feszültségével együtt meghatározza a mért áramerősséget;
14. "terhelési veszteség" (Pk): adott tekercspárhoz rendelt mért frekvencia és alaphőmérséklet melletti felvett effektív teljesítmény, ha a mért áramerősség (megcsapolási áram) a tekercsek egyikének vonalkapcsán (vonalkapcsain) keresztül áramlik és a többi tekercs kapcsai rövidre vannak zárva a fő leágaztatáshoz csatlakoztatott, megcsapolási csatlakozókkal ellátott tekercsekkel, miközben az esetleges további tekercsek alkotta áramkörök nyitottak;
15. "üresjárati veszteség" (Po): a mért frekvencián felvett effektív teljesítmény a transzformátor terhelt és a szekunder áramkör nyitott állapotában; A rákapcsolt feszültség a mért feszültség, ha pedig a gerjesztett tekercs a megcsapoláshoz csatlakozókkal van ellátva, az a fő leágaztatáshoz csatlakozik.
16. "csúcshatásfok-mutató" (PEI): a transzformátor átvitt látszólagos teljesítményének az elektromos veszteséggel csökkentett értéke és a transzformátor átvitt látszólagos teljesítménye hányadosának maximális értéke.
3. cikk
A környezettudatos tervezés követelményei
A kis teljesítményű transzformátorok, a közepes teljesítményű transzformátorok és a nagy teljesítményű transzformátorok környezettudatos tervezésére vonatkozó követelményeket az I. melléklet tartalmazza.
4. cikk
A megfelelőség értékelése
A 2009/125/EK irányelv IV. mellékletében meghatározott belső tervezés-ellenőrzési eljárást vagy az említett irányelv V. mellékletében meghatározott irányítási rendszert kell alkalmazni megfelelőségértékelési eljárásként.
5. cikk
Piacfelügyeleti célú vizsgálatok
A 2009/125/EK irányelv 3. cikkének (2) bekezdése szerinti piacfelügyeleti célú vizsgálatok elvégzése során a tagállamok hatóságai az e rendelet III. mellékletében előírt ellenőrzési eljárást alkalmazzák.
6. cikk
Indikatív referenciaértékek
A rendelet elfogadásának idején technológiailag lehetséges legmagasabb szinten teljesítő transzformátorok indikatív referenciaértékeit a IV. melléklet tartalmazza.
7. cikk
Felülvizsgálat
A Bizottság ezt a rendeletet a technológiai haladás fényében annak hatálybalépése után legkésőbb három évvel felülvizsgálja, és e felülvizsgálat eredményeit a konzultációs fórum elé tárja. A felülvizsgálat különösen legalább az alábbiak értékelésére terjed ki:
- Lehetőség a csúcshatásfok-mutató minimumának meghatározására az összes közepes teljesítményű transzformátor, köztük a legfeljebb 3 150 kVA mért teljesítményű transzformátorok esetében;
- A fő transzformátoregységhez köthető energiaveszteség és adott esetben a feszültségszabályozó funkciókat ellátó egyéb részegységek működésével járó energiaveszteség elkülönítésének lehetősége;
- Egyfázisú transzformátorokra, valamint kis teljesítményű transzformátorokra vonatkozó energiahatékonysági minimumkövetelmények meghatározásának megfelelősége;
- Annak megállapítása, hogy indokolt-e fenntartani a szabályozási engedményeket az oszlopra szerelt transzformátorok, illetve a közepes teljesítményű transzformátorok különleges tekercsfeszültség-kombinációira vonatkozóan;
- A felhasználási szakaszbeli energiafelhasználástól eltérő környezeti jellemzők hatály alá való vonásának lehetősége.
8. cikk
Hatálybalépés
Ez a rendelet az Európai Unió Hivatalos Lapjában való kihirdetését követő huszadik napon lép hatályba.
Ez a rendelet teljes egészében kötelező és közvetlenül alkalmazandó valamennyi tagállamban.
I. MELLÉKLET
A környezettudatos tervezés követelményei
1. Energiahatékonysági vagy az energiafelhasználás hatásfokára vonatkozó minimumkövetelmények a közepes teljesítményű transzformátorok tekintetében
A közepes teljesítményű transzformátorok esetében a maximális megengedett terhelési és üresjárati veszteség, illetve a csúcshatásfok-mutató előírt értékét az I.1.-I.5. táblázat tartalmazza; az oszlopra szerelt közepes teljesítményű transzformátorokra a maximális megengedett terhelési és üresjárati veszteség tekintetében más értékek vonatkoznak, amelyeket az I.6. táblázat tartalmaz.
1.1. A háromfázisú közepes teljesítményű (mért teljesítmény ≤ 3 150 kVA) transzformátorokra vonatkozó követelmények
I. 1. táblázat: A terhelési és az üresjárati veszteség maximuma (wattban) a legfeljebb 24 kV legnagyobb kimeneti feszültségű (Um) tekerccsel, valamint legfeljebb 1,1 kV legnagyobb kimeneti feszültségű (Um) második tekerccsel rendelkező közepes teljesítményű háromfázisú folyadékhűtéses transzformátorok esetében
Első szakasz (2015. július 1-től) | Második szakasz (2021. július 1-től) | |||
Mért teljesítmény (kVA) | Maximális terhelési veszteség (Pk) wattban (1) | Maximális üresjárati veszteség (Po) wattban (1) | Maximális terhelési veszteség (Pk) wattban (1) | Maximális üresjárati veszteség (Po) wattban (1) |
≤ 25 | Ck (900) | Ao (70) | Ak (600) | Ao – 10 % (63) |
50 | Ck (1 100 ) | Ao (90) | Ak (750) | Ao – 10 % (81) |
100 | Ck (1 750 ) | Ao (145) | Ak (1 250 ) | Ao – 10 % (130) |
160 | Ck (2 350 ) | Ao (210) | Ak (1 750 ) | Ao – 10 % (189) |
250 | Ck (3 250 ) | Ao (300) | Ak (2 350 ) | Ao – 10 % (270) |
315 | Ck (3 900 ) | Ao (360) | Ak (2 800 ) | Ao – 10 % (324) |
400 | Ck (4 600 ) | Ao (430) | Ak (3 250 ) | Ao – 10 % (387) |
500 | Ck (5 500 ) | Ao (510) | Ak (3 900 ) | Ao – 10 % (459) |
630 | Ck (6 500 ) | Ao (600) | Ak (4 600 ) | Ao – 10 % (540) |
800 | Ck (8 400 ) | Ao (650) | Ak (6 000 ) | Ao – 10 % (585) |
1 000 | Ck (10 500 ) | Ao (770) | Ak (7 600 ) | Ao – 10 % (693) |
1 250 | Bk (11 000 ) | Ao (950) | Ak (9 500 ) | Ao – 10 % (855) |
1 600 | Bk (14 000 ) | Ao (1 200 ) | Ak (12 000 ) | Ao – 10 % (180 ) |
2 000 | Bk (18 000 ) | Ao (1 450 ) | Ak (15 000 ) | Ao – 10 % (1 305 ) |
2 500 | Bk (22 000 ) | Ao (1 750 ) | Ak (18 500 ) | Ao – 10 % (1 575 ) |
3 150 | Bk (27 500 ) | Ao (2 200 ) | Ak (23 000 ) | Ao – 10 % (1 980 ) |
(*1) A maximális veszteségnek az I.1. táblázatban szereplő kVA-értékek közötti értékeit lineáris interpoláció útján kell meghatározni. |
I. 2. táblázat: A terhelési és az üresjárati veszteség maximuma (wattban) a legfeljebb 24 kV legnagyobb kimeneti feszültségű (Um) tekerccsel, valamint legfeljebb 1,1 kV legnagyobb kimeneti feszültségű (Um) második tekerccsel rendelkező, közepes teljesítményű háromfázisú száraztranszformátor esetében
Első szakasz (2015. július 1-től) | Második szakasz (2021. július 1-től) | |||
Mért teljesítmény (kVA) | Maximális terhelési veszteség (Pk) wattban (1) | Maximális üresjárati veszteség (Po) wattban (1) | Maximális terhelési veszteség (Pk) wattban (1) | Maximális üresjárati veszteség (Po) wattban (1) |
≤ 50 | Bk (1 700 ) | Ao (200) | Ak (1 500 ) | Ao – 10 % (180) |
100 | Bk (2 050 ) | Ao (280) | Ak (1 800 ) | Ao – 10 % (252) |
160 | Bk (2 900 ) | Ao (400) | Ak (2 600 ) | Ao – 10 % (360) |
250 | Bk (3 800 ) | Ao (520) | Ak (3 400 ) | Ao – 10 % (468) |
400 | Bk (5 500 ) | Ao (750) | Ak (4 500 ) | Ao – 10 % (675) |
630 | Bk (7 600 ) | Ao (1 100 ) | Ak (7 100 ) | Ao – 10 % (990) |
800 | Ak (8 000 ) | Ao (1 300 ) | Ak (8 000 ) | Ao – 10 % (1 170 ) |
1 000 | Ak (9 000 ) | Ao (1 550 ) | Ak (9 000 ) | Ao – 10 % (1 395 ) |
1 250 | Ak (11 000 ) | Ao (1 800 ) | Ak (11 000 ) | Ao – 10 % (1 620 ) |
1 600 | Ak (13 000 ) | Ao (2 200 ) | Ak (13 000 ) | Ao – 10 % (1 980 ) |
2 000 | Ak (16 000 ) | Ao (2 600 ) | Ak (16 000 ) | Ao – 10 % (2 340 ) |
2 500 | Ak (19 000 ) | Ao (3 100 ) | Ak (19 000 ) | Ao – 10 % (2 790 ) |
3 150 | Ak (22 000 ) | Ao (3 800 ) | Ak (22 000 ) | Ao – 10 % (3 420 ) |
(*1) A maximális veszteség I.2. táblázatban szereplő kVA-értékek közötti értékeket lineáris interpoláció útján kell meghatározni. |
I. 3. táblázat: A terhelési és az üresjárati veszteség korrekciója eltérő tekercsfeszültség-kombinációk vagy a tekercsek egyikén vagy mindegyikén jelentkező kettős feszültség esetében (mért teljesítmény ≤ 3150kVA)
Az egyik tekercs: Um ≤ 24 kV, a másik tekercs: Um > 1,1 kV | Az I.1. és az I.2. táblázatban a maximális megengedett veszteség 10 %-kal növelendő az üresjárati veszteség, 10 %-kal a terhelési veszteség esetében. |
Az egyik tekercs: Um = 36 kV, a másik tekercs: Um ≤ 1,1 kV | Az I.1. és az I.2. táblázatban a maximális megengedett veszteség 15 %-kal növelendő az üresjárati veszteség, 10 %-kal a terhelési veszteség esetében. |
Az egyik tekercs: Um = 36 kV, a másik tekercs: Um > 1,1 kV | Az I.1. és az I.2. táblázatban jelzett maximális megengedett veszteség 20 %-kal növelendő az üresjárati veszteség, 15 %-kal a terhelési veszteség esetében. |
Kettős feszültség a tekercsek egyikén | Azoknak a transzformátoroknak az esetében, amelyek egy nagyfeszültségű tekerccsel és egy megcsapolt kisfeszültségű tekercs által biztosított két feszültségszinttel rendelkeznek, a veszteség a kisfeszültségű tekercs magasabb feszültségértéke alapján számítandó, és nem haladhatja meg az I.1. és az I.2. táblázatban szereplő maximális megengedett veszteség értékét. Az ilyen transzformátorok kisfeszültségű tekercsének alacsonyabb feszültségszintje mellett a maximális hasznos teljesítmény a transzformátor kisfeszültségű tekercsének magasabb feszültségszintjéhez rendelt mért teljesítmény legfeljebb 85 %-a lehet. |
Azoknak a transzformátoroknak az esetében, amelyek egy kisfeszültségű tekerccsel és egy megcsapolt nagyfeszültségű tekercs által biztosított két feszültségszinttel rendelkeznek, a veszteség a nagyfeszültségű tekercs magasabb feszültségértéke alapján számítandó, és nem haladhatja meg az I.1. és az I.2. táblázatban szereplő maximális megengedett veszteség értékét. Az ilyen transzformátorok nagyfeszültségű tekercsének alacsonyabb feszültségszintje mellett a maximális hasznos teljesítmény a transzformátor nagyfeszültségű tekercsének magasabb feszültségszintjéhez rendelt mért teljesítmény legfeljebb 85 %-a lehet. | |
Ha a feszültségkombinációtól függetlenül a teljes névleges teljesítmény kivehető, az I.1. és az I.2. táblázatban feltüntetett veszteségszintek 15 %-kal növelhetők az üresjárati veszteség, 10 %-kal a terhelési veszteség esetében. | |
Kettős feszültség mindkét tekercsen | Az I.1. és az I.2. táblázatban a maximális megengedett veszteség 20 %-kal növelhető az üresjárati veszteség, 20 %-kal a terhelési veszteség esetében, ha a transzformátor mindkét tekercsén kettős feszültség ébred. A veszteségszintek megállapítása a lehető legmagasabb mért teljesítmény figyelembevételével és azon az alapon történik, hogy a mért teljesítmény a feszültségkombinációktól függetlenül ugyanaz. |
1.2. A közepes teljesítményű (mért teljesítmény > 3 150 kVA) transzformátorokra vonatkozó követelmények
I. 4. táblázat: Csúcshatásfok-mutató (PEI) a közepes teljesítményű folyadékhűtéses transzformátorok esetében
Mért teljesítmény (kVA) | Első szakasz (2015. július 1-től) | Második szakasz (2021. július 1-től) |
A csúcshatásfok-mutató minimuma (%) | ||
3 150 < Sr ≤ 4 000 | 99,465 | 99,532 |
5 000 | 99,483 | 99,548 |
6 300 | 99,510 | 99,571 |
8 000 | 99,535 | 99,593 |
10 000 | 99,560 | 99,615 |
12 500 | 99,588 | 99,640 |
16 000 | 99,615 | 99,663 |
20 000 | 99,639 | 99,684 |
25 000 | 99,657 | 99,700 |
31 500 | 99,671 | 99,712 |
40 000 | 99,684 | 99,724 |
A PEI I.4. táblázatban szereplő kVA-értékek közötti minimumértékeket lineáris interpoláció útján kell meghatározni.
I. 5. táblázat: Csúcshatásfok-mutató (PEI) a közepes teljesítményű száraztranszformátorok esetében
Mért teljesítmény (kVA) | Első szakasz (2015. július 1-től) | Második szakasz (2021. július 1-től) |
A csúcshatásfok-mutató minimuma (%) | ||
3150 < Sr ≤ 4000 | 99,348 | 99,382 |
5 000 | 99,354 | 99,387 |
6 300 | 99,356 | 99,389 |
8 000 | 99,357 | 99,390 |
≥ 10 000 | 99,357 | 99,390 |
A PEI I.5. táblázatban szereplő kVA-értékek közötti minimumértékeket lineáris interpoláció útján kell meghatározni.
1.3. Azokra a közepes teljesítményű (mért teljesítmény ≤ 3 150 kVA) transzformátorokra vonatkozó követelmények, amelyek a megcsapoláshoz csatlakozókkal rendelkeznek, és ezáltal gerjesztés vagy terhelés alatt is alkalmasak a működésre a feszültség szabályozása céljából. Ebbe a kategóriába tartoznak a feszültségszabályozó és -elosztó transzformátorok.
A veszteségnek az e melléklet I.1. és I.2. táblázatában meghatározott maximális megengedett szintjei 20 %-kal növelendők az üresjárati veszteség, 5 %-kal a terhelési veszteség esetében az első szakaszban, és 10 %-kal az üresjárati veszteség esetében a második szakaszban.
1.4. Az oszlopra szerelt közepes teljesítményű transzformátorokra vonatkozó követelmények
A terhelési és az üresjárati veszteségnek az I.1. és az I.2. táblázatban foglalt szintjei nem alkalmazandók a 25 kVA és 315 kVA közötti mért teljesítményű, folyadékhűtéses, oszlopra szerelt transzformátorokra. Az oszlopra szerelt közepes teljesítményű transzformátorok ezen típusaira vonatkozóan a megengedett veszteség maximális értékeit az I.6. táblázat határozza meg.
I. 6. táblázat: A maximális megengedett terhelési és üresjárati veszteség (wattban) az oszlopra szerelt, folyadékhűtéses, közepes teljesítményű transzformátorok esetében
Első szakasz (2015. július 1-től) | Második szakasz (2021. július 1-től) | |||
Mért teljesítmény (kVA) | Maximális terhelési veszteség (wattban) (1) | Maximális üresjárati veszteség (wattban) (1) | Maximális terhelési veszteség (wattban) (1) | Maximális üresjárati veszteség (wattban) (1) |
25 | Ck (900) | Ao (70) | Bk (725) | Ao (70) |
50 | Ck (1 100 ) | Ao (90) | Bk (875) | Ao (90) |
100 | Ck (1 750 ) | Ao (145) | Bk (1 475 ) | Ao (145) |
160 | Ck + 32 % (3 102 ) | Co (300) | Ck + 32 % (3 102 ) | Co – 10 % (270) |
200 | Ck (2 750 ) | Co (356) | Bk (2 333 ) | Bo (310) |
250 | Ck (3 250 ) | Co (425) | Bk (2 750 ) | Bo (360) |
315 | Ck (3 900 ) | Co (520) | Bk (3 250 ) | Bo (440) |
(*1) A maximális megengedett veszteség I.6. táblázatban szereplő kVA-értékek közötti értékeket lineáris interpoláció útján kell meghatározni. |
2. Az energiafelhasználás hatásfokára vonatkozó minimumkövetelmények a nagy teljesítményű transzformátorok tekintetében
A nagy teljesítményű transzformátorok energiafelhasználási hatásfokára vonatkozó minimumkövetelményeket az I.7. és az I.8. táblázat tartalmazza.
I. 7. táblázat: A csúcshatásfok-mutató minimumára vonatkozó követelmények nagy teljesítményű folyadékhűtéses transzformátorok esetében
Mért teljesítmény (MVA) | Első szakasz (2015. július 1-től) | Második szakasz (2021. július 1-től) |
A csúcshatásfok-mutató minimuma (%) | ||
≤ 4 | 99,465 | 99,532 |
5 | 99,483 | 99,548 |
6,3 | 99,510 | 99,571 |
8 | 99,535 | 99,593 |
10 | 99,560 | 99,615 |
12,5 | 99,588 | 99,640 |
16 | 99,615 | 99,663 |
20 | 99,639 | 99,684 |
25 | 99,657 | 99,700 |
31,5 | 99,671 | 99,712 |
40 | 99,684 | 99,724 |
50 | 99,696 | 99,734 |
63 | 99,709 | 99,745 |
80 | 99,723 | 99,758 |
≥ 100 | 99,737 | 99,770 |
A PEI I.7. táblázatban szereplő MVA-értékei közötti minimumértékeket lineáris interpoláció útján kell meghatározni.
I. 8. táblázat: A csúcshatásfok-mutató minimumára vonatkozó követelmények nagy teljesítményű száraztranszformátorok esetében
Mért teljesítmény (MVA) | Első szakasz (2015. július 1-től) | Második szakasz (2021. július 1-től) |
A csúcshatásfok-mutató minimuma (%) | ||
≤ 4 | 99,158 | 99,225 |
5 | 99,200 | 99,265 |
6,3 | 99,242 | 99,303 |
8 | 99,298 | 99,356 |
10 | 99,330 | 99,385 |
12,5 | 99,370 | 99,422 |
16 | 99,416 | 99,464 |
20 | 99,468 | 99,513 |
25 | 99,521 | 99,564 |
31,5 | 99,551 | 99,592 |
40 | 99,567 | 99,607 |
50 | 99,585 | 99,623 |
≥ 63 | 99,590 | 99,626 |
A PEI I.8. táblázatban szereplő MVA-értékei közötti minimumértékeket lineáris interpoláció útján kell meghatározni.
3. Termékinformációs követelmények
2015. július 1-jétől a következő termékinformációs követelmények szerinti adatokat kell megadni a rendelet hatálya alá tartozó (1. cikk) transzformátorok összes termékdokumentációjában, a gyártók szabadon hozzáférhető weboldalait is beleértve:
a) a mért teljesítményre, a terhelési és az üresjárati veszteségre, valamint az esetleges hűtési rendszerek üresjárati energiafelvételére vonatkozó adatok;
b) a nagy teljesítményű és (adott esetben) a közepes teljesítményű transzformátorok esetében a csúcshatásfok-mutató és az ahhoz kapcsolódó teljesítményszint értéke;
c) a kétfeszültségű transzformátorok esetében a kisebb feszültség melletti maximális mért teljesítmény, az I.3. táblázatnak megfelelően;
d) információk a transzformátor fő komponenseinek tömegéről (valamint legalább a vezetőről, annak jellegéről és a mag anyagáról);
e) az oszlopra szerelt közepes teljesítményű transzformátorok esetében jól látható helyen a "kizárólag oszlopra szerelve működtethető" felirat.
Az a), b) és c) pontban meghatározott adatokat a transzformátorok adattábláin is fel kell tüntetni.
4. Műszaki dokumentáció
A transzformátorok műszaki dokumentációiban többek között az alábbi adatoknak kell szerepelniük:
a) a gyártó neve és címe;
b) modellazonosító - alfanumerikus kód, amelynek segítségével megkülönböztethetőek egymástól ugyanazon gyártó különböző modelljei;
c) a 3. pontban meghatározott információk.
Ha egy adott modell műszaki dokumentációja (vagy annak egy része) másik modell műszaki dokumentációján (vagy annak egy részén) alapul, a műszaki dokumentációban fel kell tüntetni ez utóbbi modell modellazonosítóját, részletesen kifejtve, hogy a másik modell műszaki dokumentációjából az információk milyen módon lettek átvéve például számításoknál vagy extrapolálásnál, beleértve a gyártó által a számítások vagy extrapolációk helytállóságának ellenőrzésére végrehajtott tesztek ismertetését is.
II. MELLÉKLET
Mérési és számítási módszerek
Mérési módszer
Az e rendeletben foglalt követelmények teljesülésének ellenőrzése céljából olyan megbízható, pontos és megismételhető mérési eljárásokat kell alkalmazni, amelyek igazodnak az általánosan korszerűként elfogadott mérési módszertanhoz, ideértve az ebből a célból az Európai Unió Hivatalos Lapjában közzétett hivatkozási számú dokumentumokban ismertetett módszereket is.
Számítási módszerek
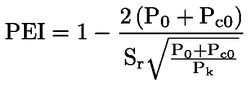
A közepes és a nagy teljesítményű transzformátorok csúcshatásfok-mutatóját (PEI) a transzformátor átvitt látszólagos teljesítményének az elektromos veszteséggel csökkentett értéke és a transzformátor átvitt látszólagos teljesítménye hányadosának alapján kell számítani.

ahol:
P0: a mért csapoláson, mért feszültség és mért frekvencia mellett méréssel meghatározott üresjárati veszteség.
Pc0: a hűtési rendszer üresjárati üzeméhez igényelt villamos energia.
Pk: a mért csapoláson, mért áramerősség és mért frekvencia mellett méréssel meghatározott, az alaphőmérséklet szerint korrigált terhelési veszteség.
Sr: a transzformátor vagy autotranszformátor mért teljesítménye, amelyen a Pk alapul.
III. MELLÉKLET
A termék megfelelésének vizsgálata a piacfelügyeleti hatóságok által
Az e mellékletben meghatározott ellenőrzési tűrések kizárólag a méréssel meghatározott paramétereknek a tagállami hatóságok általi ellenőrzésére vonatkoznak, a gyártó és az importőr nem használhatja fel őket megengedett tűrésként a műszaki dokumentációban szereplő értékek meghatározására vagy ezeknek az értékeknek a megfelelés kimutatása céljából történő értelmezésére, sem pedig a kedvezőbb működési tulajdonságok bárminemű kommunikálására.
Amikor a 2009/125/EK irányelv 3. cikkének (2) bekezdésével összhangban azt vizsgálják, hogy egy termékmodell teljesíti-e az e rendeletben és mellékleteiben meghatározott követelményeket, a tagállami hatóságok az e mellékletben említett követelmények tekintetében a következő eljárást alkalmazzák:
1. A tagállami hatóságok a modellből egyetlen darabot vetnek vizsgálat alá. A közepes és a nagy teljesítményű transzformátorok szállításának tömeg- és méretbeli korlátaira való tekintettel a tagállami hatóságok dönthetnek úgy, hogy még a transzformátor rendeltetési helyén való üzembe helyezés előtt, a gyártó telephelyén folytatják le az ellenőrzési eljárást.
2. Úgy kell tekinteni, hogy a modell teljesíti a vizsgált követelményeket, ha:
a) a műszaki dokumentációban a 2009/125/EK irányelv IV. mellékletének 2. pontja szerint megadott értékek (a továbbiakban: megadott értékek), valamint - ha alkalmazandó - az ezen értékek meghatározásához felhasznált értékek nem kedvezőbbek a gyártóra vagy az importőrre nézve, mint az említett melléklet 2. g) pontjával összhangban elvégzett megfelelő mérések eredményei; és
b) a megadott értékek teljesítik az e rendeletben meghatározott valamennyi követelményt, továbbá a gyártó és az importőr által az előírásoknak megfelelően közzétett termékinformációk nem tartalmaznak a gyártóra vagy az importőrre nézve a megadott értékeknél kedvezőbb értékeket; és
c) akkor, amikor a tagállami hatóságok a modell adott darabját vizsgálatnak vetik alá, a meghatározott értékek (az egyes paramétereknek a vizsgálat során méréssel meghatározott értékei, illetőleg az ezen értékek alapján számítással meghatározott értékek) az 1. táblázat szerinti ellenőrzési tűréseken belül vannak.
3. Ha a 2. a), a 2. b) és a 2. c) pontban foglalt feltételek nem teljesülnek, akkor úgy kell tekinteni, hogy a modell nem teljesíti e rendelet követelményeit.
4. A modell nem megfelelő voltának a 3. pont szerinti megállapítását követően a tagállami hatóságok minden lényeges információt haladéktalanul átadnak a többi tagállam hatóságainak és a Bizottságnak.
A tagállami hatóságok a fenti vizsgálatok során a II. mellékletben meghatározott mérési és számítási módszereket alkalmazzák.
A tagállami hatóságok az e mellékletben foglalt követelmények teljesülésének ellenőrzésére kizárólag az 1. táblázatban meghatározott ellenőrzési tűréseket és kizárólag az 1-4. pontban leírt eljárást alkalmazzák. Semmilyen más - például harmonizált szabványban vagy más mérési módszerben meghatározott - tűrés nem alkalmazható.
1. táblázat
Ellenőrzési tűrések
Paraméter | Ellenőrzési tűrés |
Terhelési veszteség | A meghatározott érték nem lehet nagyobb 5 %-nál nagyobb mértékben a megadott értéknél. |
Üresjárati veszteség | A meghatározott érték nem lehet nagyobb 5 %-nál nagyobb mértékben a megadott értéknél. |
A hűtési rendszer üresjárati üzeméhez szükséges villamos energia | A meghatározott érték nem lehet nagyobb 5 %-nál nagyobb mértékben a megadott értéknél. |
IV. MELLÉKLET
Indikatív referenciaértékek
A rendelet elfogadásának időpontjában a közepes teljesítményű transzformátorok piacán a következő jellemzőkkel rendelkező termékek minősültek a legjobb elérhető technológiának:
a) Folyadékhűtéses közepes teljesítményű transzformátorok: Ao - 20 %, Ak - 20 %
b) Közepes teljesítményű száraztranszformátorok: Ao - 20 %, Ak - 20 %
c) Amorf acélmaggal rendelkező közepes teljesítményű transzformátorok: Ao - 50 %, Ak - 50 %
További anyagokra van szükség az amorf acélmaggal rendelkező transzformátorok gyártásával kapcsolatban ahhoz, hogy a jövőben minimumkövetelménnyé válhassanak a veszteségre vonatkozó fenti értékek.
( 1 ) A robbanásveszélyes légkörben való használatra szánt felszerelésekkel a 94/9/EK európai parlamenti és tanácsi irányelv foglalkozik (HL L 100., 1994.4.19., 1. o.).
Lábjegyzetek:
[1] A dokumentum eredetije megtekinthető CELEX: 32014R0548 - https://eur-lex.europa.eu/legal-content/HU/ALL/?uri=CELEX:32014R0548&locale=hu Utolsó elérhető, magyar nyelvű konszolidált változat CELEX: 02014R0548-20170109 - https://eur-lex.europa.eu/legal-content/HU/ALL/?uri=CELEX:02014R0548-20170109&locale=hu