17/2016. (XII. 21.) MEKH rendelet
a megújuló energiaforrásból termelt villamos energia működési támogatásának mértékéről
A villamos energiáról szóló 2007. évi LXXXVI. törvény 170. § (5) bekezdés 6. és 7. pontjában kapott felhatalmazás alapján, a Magyar Energetikai és Közmű-szabályozási Hivatalról szóló 2013. évi XXII. törvény 12. § i) pontjában meghatározott feladatkörömben eljárva a következőket rendelem el:
1. A rendelet alkalmazási köre
1. § E rendelet alkalmazási köre kiterjed a megújuló energiaforrásból termelt villamos energia kötelező átvételi és prémium típusú támogatásáról szóló 165/2016. (VI. 23.) Korm. rendelet szerinti
a) kötelező átvételre jogosult villamosenergia-termelőkre;
b) a prémium típusú támogatásra jogosult, 1 MW névleges villamos teljesítőképességnél kisebb erőműegységben termelő villamosenergia-termelőkre.
2. Értelmező rendelkezések
2. § (1) E rendelet alkalmazásában:
időszaki beruházás: az adott beruházás kereskedelmi üzembe helyezését követően felmerülő beruházások.
(2) Az (1) bekezdésben nem szereplő fogalmakat a villamos energiáról szóló 2007. évi LXXXVI. törvény és a végrehajtására kiadott jogszabályokban foglalt meghatározások szerint kell alkalmazni.
3. Kötelező átvétel
3. § (1) Az 1. melléklet tartalmazza technológiák szerinti bontásban a kötelező átvételre jogosult, kötelező átvételi rendszerbe belépni szándékozó, új építésű erőműegységekre vonatkozó
a) kötelező átvételi időtartamokat,
b) a kötelező átvétel alá eső maximális mennyiségeket, valamint
c) a kereskedelmi üzem megkezdésének támogatási jogosultsághoz kapcsolódó határidejét.
(2) Amennyiben az adott beruházás nem kerül kereskedelmi üzembe a kötelező átvételre való jogosultság megállapításától számítva az 1. melléklet szerinti időszakon belül, a kötelező átvételi jogosultság megszűnik.
(3) Az 1. melléklet szerinti értékeket a Magyar Energetikai és Közmű-szabályozási Hivatal (a továbbiakban: Hivatal) összehasonlító elemzésen alapuló adatok figyelembevételével, az 5-7. alcím szerinti számítási módszertan alapján állapítja meg.
(4) A kötelező átvétel 1. melléklet szerinti időtartama a figyelembe veendő egyéb támogatások indokolt beruházási költségekhez viszonyított arányának megfelelően csökken.
4. § (1) Az 1. mellékletben fel nem sorolt esetekre a kötelező átvétel időtartamát, a kötelező átvétel alá eső mennyiséget és a kereskedelmi üzem megkezdésének támogatási jogosultsághoz kapcsolódó határidejét a Hivatal egyedi határozatban állapítja meg.
(2) A kötelező átvétel időtartamának (1) bekezdés szerinti meghatározásakor a Hivatal az 5-7. alcím szerinti számítási módszertan alapján jár el.
(3) A kötelező átvétel időtartama, a kötelező átvétel alá eső mennyiség és a kereskedelmi üzem megkezdésére vonatkozó határidő (1) bekezdés szerinti megállapításakor a Hivatal a kérelmező üzleti tervét veszi alapul, de azon indokoltsági vizsgálatot végez a felhasznált energiaforrás, a névleges teljesítőképesség, a technológiai sajátosságok, az ésszerű telephelyválasztás, a legkisebb költség elve és a legjobb elérhető technológia alapján megvalósított és működtetett beruházások (hazai és nemzetközi) adatainak figyelembevételével. A kérelmező üzleti tervétől való eltéréseket a Hivatal a határozatában indokolja.
4. Prémium típusú támogatás
5. § (1) A 2. melléklet tartalmazza technológiák szerinti bontásban
a) a támogatási időtartamot,
b) a támogatás alá eső villamos energia maximális mennyiségét, valamint
c) a kereskedelmi üzem megkezdésének támogatási jogosultsághoz kapcsolódó határidejét
azon új építésű erőműegységekre vonatkozóan, amelyek prémium típusú támogatásra jogosultak, de a jogosultság mértékét nem pályázati eljárással kell megállapítani.
(2) Ha az adott beruházás nem kerül kereskedelmi üzembe a prémium típusú támogatásra való jogosultság megállapításától számítva a 2. melléklet szerinti időszakon belül, a támogatási jogosultság megszűnik.
(3) Az (1) bekezdés szerinti értékeket a Hivatal összehasonlító elemzésen alapuló adatok figyelembevételével, az 5-7. alcím szerinti számítási módszertan alapján állapítja meg.
(4) A támogatás 2. melléklet szerinti időtartama a figyelembe veendő egyéb támogatások indokolt beruházási költségekhez viszonyított arányának megfelelően csökkentendő.
6. § (1) A 2. mellékletben fel nem sorolt esetekre a támogatás időtartamát, a támogatás alá eső mennyiséget, valamint a kereskedelmi üzem megkezdésének támogatási jogosultsághoz kapcsolódó határidejét a Hivatal egyedi határozatban állapítja meg.
(2) A támogatás időtartamának (1) bekezdés szerinti meghatározásakor a Hivatal az 5-7. alcím szerinti számítási módszertan alapján jár el.
(3) A támogatás időtartama, a támogatás alá eső mennyiség és a kereskedelmi üzem megkezdésére vonatkozó határidő (1) bekezdés szerinti megállapításakor a Hivatal a kérelmező üzleti tervét veszi alapul, de azon indokoltsági vizsgálatot végez a felhasznált energiaforrás, a névleges teljesítőképesség, a technológiai sajátosságok, az ésszerű telephelyválasztás, a legkisebb költség elve és a legjobb elérhető technológia alapján megvalósított és működtetett beruházások (hazai és nemzetközi) adatainak figyelembevételével. A kérelmező üzleti tervétől való eltéréseket a Hivatal a határozatában indokolja.
5. A támogatás megállapításának keretei
7. § (1) Az 1. és 2. mellékletben szereplő értékeket a Hivatal - a (2) bekezdésben meghatározottak kivételével - minden naptári év november 1. napjáig felülvizsgálja, és ennek alapján meghirdeti a következő naptári évre érvényes értékeket, amelyek azokra az új belépőkre vonatkoznak, akiknek hiánytalan támogatási kérelme a következő naptári év kezdetét követően érkezik be a Hivatalhoz.
(2) A napelemes erőművek vonatkozásában az 1. és 2. mellékletben szereplő értékeket a Hivatal félévente, minden év május 1. és november 1. napjáig vizsgálja felül a következő félévre vonatkozóan, és az új értékek azon új belépőkre érvényesek, akiknek hiánytalan támogatási kérelme a következő naptári félév kezdetét követően érkezik be a Hivatalhoz.
(3) Jelentős gazdasági, jogszabályi, illetve egyéb releváns változások esetén az 1. és 2. mellékletben szereplő értékek rendkívüli felülvizsgálatára is sor kerülhet. A rendkívüli felülvizsgálat során alkalmazott változásokat leghamarabb azok meghirdetését követő 15. napon lehet hatályba léptetni és a változások nem alkalmazhatóak azokra a kérelmekre, amelyek még a módosítás hatálybalépése előtt hiánytalanul beérkeztek a Hivatalhoz.
(4) A támogatások mértékének megállapítása során figyelembe kell venni az ésszerű telephelyválasztást, a legkisebb költség elvét és az elérhető legjobb technológiákra vonatkozó hazai és nemzetközi adatokat.
(5) Ha a beruházás vagy a támogatás több évre elhúzódik, a támogatás arányának kiszámításakor ezek jelenértékét kell figyelembe venni, az európai uniós versenyjogi értelemben vett állami támogatásokkal kapcsolatos eljárásról és a regionális támogatási térképről szóló 37/2011. (III. 22.) Korm. rendelet szerinti diszkont kamatláb alkalmazásával.
(6) Ha a támogatásra vonatkozó jogosultság megállapítását követően az adott termelő által igénybe vett egyéb támogatás megváltozik, a korábban megállapított jogosultság időtartamát az előjelhelyes változás indokolt beruházási költséghez viszonyított arányának megfelelően kell módosítani a 3. mellékletben meghatározott képlet szerint.
(7) A támogatás alá eső villamos energia teljes támogatási időszakra megállapított mennyisége a támogatás időtartamával arányosan módosul a (6) bekezdés szerinti esetekben.
(8) A kötelező átvétel vagy a prémium típusú támogatás megállapításakor a Hivatal figyelembe veszi az energiapolitikáért felelős miniszter által rendeletben megállapított korlátokat.
(9) A Hivatal az európai uniós versenyjogi értelemben vett állami támogatásokkal kapcsolatos eljárásról és a regionális támogatási térképről szóló 37/2011. (III. 22.) Korm. rendelet 18/A-18/D. §-ának megfelelően adatot szolgáltat a Támogatásokat Vizsgáló Iroda részére az 500 000 eurónak megfelelő forintösszeget meghaladó egyedi támogatásokról.
6. A támogatás megállapításának általános szabályai
8. § (1) A Hivatal a számításokban csak a tényleges pénzáramlással (pénzkiadással vagy pénzbevétellel) járó költségeket és bevételeket veszi figyelembe.
(2) Az időszaki beruházásokat az üzleti tervbe a felmerülésüknek megfelelően kell beírni folyó áron, azokat azonban a Hivatal a számításban a várható élettartam alatt egyenletesen veszi figyelembe olyan módon, hogy összesített jelenértékük ne változzon.
(3) A hőenergia értékesítés átlagárát a Hivatal - a (4) bekezdésben meghatározott kivételekkel - a földgáz hazai nettó végfogyasztói ára alapján veszi figyelembe, az EUROSTAT nagyobb ipari fogyasztókra (100 000-1 000 000 GJ/év fogyasztási kategória) vonatkozó legfrissebb adatai alapján, a további évekre inflációval megegyező mértékű hőenergia árnövekedést feltételezve.
(4) Ha
a) az energiaforrás elérhetősége határozza meg a telepítés helyét és a közelben nincs megfelelő hőigény, vagy
b) a termelő a távhő árszabályozás hatálya alá esik, és a távhő árszabályozás módszertanát kell alapul venni, akkor a hőértékesítési árat a kérelmező által benyújtott üzleti terv alapján veszi figyelembe a Hivatal, de azon indokoltsági vizsgálatot végez a felhasznált energiaforrás, a névleges teljesítőképesség, a technológiai sajátosságok, az ésszerű telephelyválasztás, a legkisebb költség elve és a legjobb elérhető technológia alapján megvalósított és működtetett beruházások (hazai és nemzetközi) adatainak figyelembevételével. A kérelmező üzleti tervétől való eltéréseket a Hivatal a határozatában indokolja.
(5) Az inflációt a Magyar Nemzeti Bank (a továbbiakban: MNB) aktuális előrejelzése szerint, az előrejelzés időtávját követő évekre az MNB középtávú inflációs célja alapján kell számításba venni.
(6) A hitelezéssel kapcsolatos költségeket - beleértve a beruházás üzembe helyezése előtt felmerülő költségeket is - a Hivatal a számításokban közvetlenül nem veszi figyelembe, csak a mindenkire egységesen alkalmazandó diszkontrátán keresztül.
7. A kötelező átvétel és a prémium megállapítása
9. § (1) A kötelező átvétel és a prémium támogatási időtartamának meghatározása a 4. mellékletben található képlet alapján történik. Az adott beruházás akkor tekintendő megtérültnek, amikor a 4. melléklet szerint számított nettó jelenérték (NPVn) pozitívvá válik. Az éven belüli értékek meghatározásához lineáris arányosítás alkalmazandó.
(2) A beruházások értékében nem vehetőek figyelembe az adott beruházásra aktivált finanszírozási költségek.
(3) A beruházások értékében a működés megkezdését követően - az (5) bekezdés szerinti kivétellel - csak a működés fenntartásához szükséges időszaki beruházások vehetők figyelembe.
(4) A vizsgálat az adott erőműtípus összehasonlító elemzésen alapuló, tervezett élettartamának időtávján történik. A figyelembe vett élettartam legfeljebb 25 év lehet.
(5) Az üzleti tervben időszaki beruházásként figyelembe vehetőek a tervezett élettartam végén szükséges bezárási és rekultivációs költségek, csökkentve az eszközök és maradékanyagok értékesítéséből származó bevétellel.
(6) A figyelembe vett diszkontráta a Szerződés 107. és 108. cikke alkalmazásában bizonyos támogatási kategóriáknak a belső piaccal összeegyeztethetővé nyilvánításáról szóló 2014. június 17-i 651/2014/EU bizottsági rendelet 43. cikkének (6) bekezdése szerinti maximális megtérülési ráta aktuális értékével egyezik meg.
(7) Megújuló energiaforrásból vagy hulladékból nyert energiával termelő erőműegység termelőképességének növelése vagy a továbbműködtetéshez szükséges fejlesztése esetén a Hivatal a megtérülési idő számítása során figyelembe veszi a már meglévő erőműegységből eredő beruházási és költség előnyöket is.
10. § (1) A beruházás adott évben számított maradványértéke a piaci villamosenergia-értékesítés feltételezése melletti, a tervezett élettartamból még hátralévő évekre vonatkozó pénzáramok diszkontált értéke alapján határozandó meg.
Az n-edik évre vonatkozó maradványérték meghatározása az 5. mellékletben meghatározott képlet szerint történik.
(2) A villamos energia piaci árait a hazai szervezett villamosenergia-piac fizikai futures jelentései alapján az alábbiak figyelembevételével határozza meg a Hivatal:
a) az elérhető legfrissebb havi jelentés következő 3 évre vonatkozó zsinór (baseload) árai (EUR/MWh);
b) a további évekre ezen három év átlagos ára;
c) 0,9-es korrekciós szorzó minden évre;
d) az elmúlt egy éves időszakra vonatkozóan az MNB által közzétett Euró/Forint középárfolyamok számtani átlaga.
(3) A (2) bekezdésben meghatározott paraméterek aktuális értékét a Hivatal havonta közzéteszi a honlapján. Az egyedi vizsgálatoknál a kérelem beérkezésének napjáig a Hivatal által közzétett legfrissebb értékeket kell alkalmazni.
8. A kötelező átvétel és a prémium típusú támogatás kérelmezése
11. § (1) Működő erőműegységre vonatkozóan a kötelező átvétel vagy prémium típusú támogatás újbóli megállapítására benyújtott kérelem akkor teljesíthető, ha a továbbműködtetéshez az eredeti kezdeti beruházási költség legalább 50%-át elérő új beruházásra van szükség.
(2) A kérelem engedélyköteles erőmű esetében legkorábban a kiserőművi összevont engedélyre vonatkozó kérelemmel egyidejűleg nyújtható be.
(3) A kérelemhez mellékelni kell:
a) azokat a rendelkezésre álló dokumentumokat, amelyek hitelt érdemlően igazolják, hogy a kérelmező milyen fajtájú és összegű más támogatást (így különösen beruházási támogatás, adómentesség vagy adókedvezmény, állami támogatást tartalmazó kedvezményes hitel, egyéb közvetlen ártámogatás vagy kedvezményes csatlakozási díj) vett, vesz vagy tervez igénybe venni a beruházáshoz kapcsolódóan;
b) az erőműegységnek a tervezett élettartamára vonatkozó, független szaktanácsadó által ellenőrzött üzleti tervét a Hivatal által közzétett mintának megfelelően;
c) a független szaktanácsadó jelentését és nyilatkozatát, hogy megfelel a független szaktanácsadóra vonatkozó, (5) bekezdés szerinti feltételeknek;
d) a főberendezések gyártási dokumentációjának azon részét, amelyen fel van tüntetve a főberendezések gyártási éve, a korábbi felújítás ténye és ideje, továbbá azon részeket, amelyekből az erőműegység névleges hatásfoka és névleges teljesítőképessége megállapítható, vagy - amennyiben ez még nem áll rendelkezésre - a kérelmező nyilatkozatát a gyártási évről;
e) megújuló tüzelőanyag felhasználásával termelt villamos energia esetében a kérelmező nyilatkozatát arról, hogy erőműegységét a megújuló energiaforrásból és a nagy hatásfokú kapcsolt energiatermelésből nyert villamos energia származásának igazolásáról szóló kormányrendeletnek megfelelően minősítteti;
f) az igazgatási szolgáltatási díj Hivatal részére történő befizetésének pénzintézeti igazolását;
g) hitelfelvétel esetén a hitelintézethez benyújtott, hitelintézet által elfogadott üzleti tervet vagy a hitelintézet nyilatkozatát arról, hogy nem követel meg üzleti tervet a hitel elbírálásához;
h) nem engedélyköteles kiserőmű esetén továbbá
ha) a kérelmező tervezett telephely feletti rendelkezési jogát és a telephely méretét igazoló dokumentumot, valamint
hb) a területileg illetékes elosztói engedélyes jóváhagyását a hálózati csatlakozási tervre vonatkozóan;
i) a tervezett telephellyel szomszédos területek helyrajzi számait és az ezen területeket mutató, elsőfokú ingatlanügyi hatóság által 45 napnál nem régebben kiadott térképmásolatot (helyszínrajzot);
j) a kis- és középvállalkozásokról, fejlődésük támogatásáról szóló törvény szerinti kapcsolódó vagy partnervállalkozások felsorolását az alábbiak megadásával:
ja) cégjegyzék szerinti rövidített név;
jb) adószám; és
jc) cégképviseletre jogosult(ak) megnevezése;
k) a pénzmosás és a terrorizmus finanszírozása megelőzéséről és megakadályozásáról szóló 2007. évi CXXXVI. törvény 3. § r) pontja szerinti tényleges tulajdonos(ok) megnevezését;
l) az erőműegység műszaki adatait a kérelem formanyomtatványa szerint; valamint
m) a támogatásra vonatkozó egyéb jogszabályi feltételeknek való megfelelést igazoló nyilatkozatokat és dokumentumokat a Hivatal honlapján közzétett listának és mintáknak megfelelően.
(4) A szükséges benyújtandó adatok és dokumentumok formai és tartalmi követelményeit a Hivatal a honlapján közzéteszi.
(5) Független szaktanácsadó az lehet, aki felsőfokú műszaki vagy közgazdasági végzettséggel rendelkezik, továbbá személyes vagy anyagi érdeke nem fűződik a kérelmezőhöz vagy a beruházáshoz.
9. Záró rendelkezés
12. § Ez a rendelet 2017. január 1-jén lép hatályba.
Dr. Dorkota Lajos s. k.,
elnök
1. melléklet a 17/2016. (XII. 21.) MEKH rendelethez
A kötelező átvételi jogosultságra vonatkozó támogatási értékek
A | B | C | D | |||
Technológia | Támogatás időtartama | Támogatás alá eső mennyiség | Kereskedelmi üzembe helyezésre rendelkezésre álló időtartam (év) | |||
év | hónap | 1 kW teljesítőképességhez tartozó éves mennyiség (kWh) | Alapul vett teljesítőképesség típusa | |||
1. | Biogáz (biogáz üzemmel) | 25 | 0 | 6750 | Névleges villamos teljesítőképesség | 5 |
2. | Hulladéklerakóból származó gáz | 5 | 3 | 7500 | Névleges villamos teljesítőképesség | 2 |
3. | Napelem (fix) | 13 | 1 | 1100 | Beépített napelemek össz-teljesítőképessége | 2 |
4. | Napelem (napkövetős) | 13 | 1 | 1500 | Beépített napelemek össz-teljesítőképessége | 2 |
5. | Szilárd biomassza | 25 | 0 | 6900 | Névleges villamos teljesítőképesség | 5 |
2. melléklet a 17/2016. (XII. 21.) MEKH rendelethez
A pályázati eljárás alá nem tartozó prémium típusú támogatásra vonatkozó támogatási értékek
A | B | C | D | |||
Technológia | Támogatás időtartama | Támogatás alá eső mennyiség | Kereskedelmi üzembe helyezésre rendelkezésre álló időtartam (év) | |||
év | hónap | 1 kW teljesítőképességhez tartozó éves mennyiség (kWh) | Alapul vett teljesítőképesség típusa | |||
1. | Biogáz (biogáz üzemmel) | 25 | 0 | 6750 | Névleges villamos teljesítőképesség | 5 |
2. | Hulladéklerakóból származó gáz | 4 | 6 | 7500 | Névleges villamos teljesítőképesség | 2 |
3. | Napelem (fix) | 12 | 7 | 1100 | Beépített napelemek össz-teljesítőképessége | 2 |
4. | Napelem (napkövetős) | 12 | 7 | 1500 | Beépített napelemek össz-teljesítőképessége | 2 |
5. | Szilárd biomassza | 25 | 0 | 6900 | Névleges villamos teljesítőképesség | 5 |
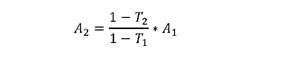
3. melléklet a 17/2016. (XII. 21.) MEKH rendelethez
A kötelező átvétel vagy prémium típusú támogatás időtartamának módosítása az igénybe vett egyéb támogatás módosulása esetén

Ahol
A1: a támogatás időtartama a módosítás előtt;
A2: a támogatás időtartama a módosítás után;
T1: a támogatás jelenértékének az indokolt beruházási költséghez viszonyított aránya a módosítás előtt;
T2: a támogatás jelenértékének az indokolt beruházási költséghez viszonyított aránya a módosítás után.
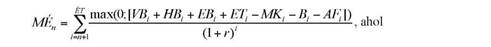
4. melléklet a 17/2016. (XII. 21.) MEKH rendelethez
A kötelező átvétel és a zöld prémium támogatási időtartamának meghatározása

NPVn: a beruházás nettó jelenértéke az n. évben;
VBi: a villamos energia értékesítéséből elért árbevétel (prémium típusú támogatás esetén a prémiummal együtt) az i-edik évben;
HBi: a hőenergia értékesítésből elért árbevétel az i-edik évben;
EBi: a villamos energia és a hőenergia értékesítés árbevételén felüli, a projekthez kapcsolódó egyéb bevételek vagy megtakarítások az i-edik évben (pl. keletkezett melléktermékek értékesítése vagy felhasználása, a megtermelt energia saját felhasználásával elért megtakarítás);
ETi: a kötelező átvételen vagy prémium típusú támogatáson kívüli egyéb támogatások az i-edik évben;
MKi: működési költségek az i-edik évben (pl. energiahordozó költsége, személyi jellegű ráfordítások, biztosítás díja, karbantartás költsége);
Bi: beruházások az i-edik évben (az időszaki beruházások egyenletesen szétosztva);
AFi: fizetendő adók az i-edik évben;
MÉn: piaci villamosenergia-értékesítés melletti jövőbeli hozam alapján, az 5. melléklet szerint számított maradványérték az n-edik évre; r: diszkontráta (a tőkeköltség hozamtényezője).
A "0." év a beruházás megkezdésének éve.
5. melléklet a 17/2016. (XII. 21.) MEKH rendelethez
Az n-edik évre vonatkozó maradványérték meghatározása

A jelölések a 4. mellékletben alkalmazott jelölésekkel egyeznek meg, de értéküket a piaci villamosenergiaértékesítést figyelembe véve kell meghatározni. Az "ÉT" az adott termelőegység figyelembe vett élettartamát jelöli (de legfeljebb 25 év).