15/2024. (IX. 9.) SZTFH rendelet
az Általános Robbantási Biztonsági Szabályzatról szóló 27/2022. (I. 31.) SZTFH rendelet módosításáról
A bányászatról szóló 1993. évi XLVIII. törvény 50/A. § (1b) bekezdés 8. és 26. pontjában kapott felhatalmazás alapján, a Szabályozott Tevékenységek Felügyeleti Hatóságáról szóló 2021. évi XXXII. törvény 13. § n) és o) pontjában foglalt feladatkörömben eljárva a következőket rendelem el:
1. § (1) Az Általános Robbantási Biztonsági Szabályzatról szóló 27/2022. (I. 31.) SZTFH rendelet (a továbbiakban: Rendelet) 2. § 22. pontja helyébe a következő rendelkezés lép:
(E rendelet alkalmazásában)
"22. mértékadó töltet: az azonos késleltetési fokozatban együttrobbanó töltetek mennyisége közül a legnagyobb, elektronikus gyutacs esetén a 8 ms-on belül együtt robbantott töltetek közül a legnagyobb, nyújtott töltet esetén a töltet tömege;"
(2) A Rendelet 2. §-a a következő 32a. ponttal egészül ki:
(E rendelet alkalmazásában)
"32a. robbanásbiztos kivitel: az a villamos vagy gépészeti berendezés-kialakítás, amely működése során nem válthat ki robbanást, és nem válhat gyújtóforrássá még rendellenes működés esetén sem;"
(3) A Rendelet 2. § 44. pontja helyébe a következő rendelkezés lép:
(E rendelet alkalmazásában)
"44. robbantóanyag: a robbanóanyag és a robbantószer összefoglaló elnevezése;"
(4) A Rendelet 2. §-a a következő 46a. ponttal egészül ki:
(E rendelet alkalmazásában)
"46a. robbantószer: a töltet közvetlen iniciálására szolgáló anyag vagy szerkezet;"
(5) A Rendelet 2. §-a a következő 50a. ponttal egészül ki:
(E rendelet alkalmazásában)
"50a. szellőztetési üzemzavar: a légosztályok számának, a főszellőztető-gép légtechnikai jellemzőinek, az áthúzó légáram irányának és mennyiségének változása, valamint a bányatérségek szellőztetésében bekövetkező olyan változás, amely a légáram előírt mennyiségétől, sebességétől vagy a levegő összetételének megengedett értékétől való eltérését okozza vagy okozhatja;"
2. § A Rendelet 3. §-a helyébe a következő rendelkezés lép:
"3. § (1) Polgári robbanóanyag forgalmazás irányításával és felügyeletével az a személy bízható meg, aki
a) betöltötte a 21. életévét, és
b) rendelkezik robbantásvezetői engedéllyel.
(2) Robbanóanyag gyártásáért felelős személyként vegyészmérnöki végzettséggel és legalább 3 éves robbanóanyag gyártási gyakorlattal rendelkező személy bízható meg. Keveréssel előállítható robbanóanyag esetén gyártásért felelős személyként olyan, robbantásvezetői engedéllyel rendelkező személy (a továbbiakban: robbantásvezető) is megbízható, aki legalább 3 éves robbantásvezetői gyakorlattal rendelkezik.
(3) Robbanóanyag megszerzésének, tárolásának irányításával, ellenőrzésével robbantásvezető vagy robbantómesteri engedéllyel rendelkező személy (a továbbiakban: robbantómester) bízható meg.
(4) Robbantási munka tervezésével, irányításával, ellenőrzésével robbantásvezető bízható meg.
(5) Építményrobbantással legalább 3 éves robbantásvezetői gyakorlattal rendelkező robbantásvezető bízható meg."
3. § A Rendelet 4. §-a helyébe a következő rendelkezés lép:
"4. § (1) Robbanóanyag gyártási munkával közép- vagy alapfokú vegyipari végzettséggel rendelkező személy bízható meg.
(2) Keveréssel előállítható robbanóanyag gyártási munkával robbantómester is megbízható.
(3) Robbanóanyaggal kapcsolatos munka végrehajtásával - az (1) bekezdésben foglalt kivétellel - robbantásvezető vagy robbantómester bízható meg.
(4) Robbanóanyaggal kapcsolatos munkák egyes kisegítő feladatainak elvégzésével arra alkalmas, kioktatott személyt (a továbbiakban: robbantási segéderő) is meg lehet bízni. Robbantási segéderő az lehet, akit az adott feladat elvégzésére kioktattak, és annak megfelelő elsajátításáról visszakérdezéssel meggyőződtek."
4. § A Rendelet 5. § (1)-(4) bekezdése helyébe a következő rendelkezés lép:
"(1) Robbantásvezetői engedélyt az kaphat, aki
a) robbantástechnikai szakmérnöki végzettséggel vagy felső- vagy középfokú műszaki végzettséggel rendelkezik,
b) legalább 3 éves robbantási üzemi gyakorlatot szerzett, és
c) a bányafelügyelet vizsgabizottsága előtt a bányafelügyeleti vizsgát sikeresen letette.
(2) Robbantómesteri engedélyt az kaphat, aki
a) robbantástechnikai szakmérnöki végzettséggel vagy felső-, vagy közép-, vagy alapfokú műszaki végzettséggel rendelkezik,
b) 21. életévét betöltötte,
c) legalább egy éves robbantási üzemi gyakorlatot szerzett, és
d) a bányafelügyelet vizsgabizottsága előtt a bányafelügyeleti vizsgát sikeresen letette.
(3) A robbantásvezetői vagy robbantómesteri engedély határozatlan idejű, és
a) külszíni bányászati és általános külszíni robbantási munka,
b) szeizmikus robbantási munka,
c) kohászati robbantási munka,
d) építményrobbantási munka,
e) víz alatti és jégrobbantási munka,
f) mélyfúrási robbantási munka,
g) földalatti robbantási munka
érvényességi körre adható.
(4) A (3) bekezdés szerinti engedély egy vagy több érvényességi körre is adható."
5. § A Rendelet 3. alcíme a következő 5/A. §-sal egészül ki:
"5/A. § (1) A bányafelügyelet előzetes jóváhagyásával az elméleti és gyakorlati oktatáshoz szükséges személyi és tárgyi feltételekkel rendelkező szervezet legalább 40 órás robbantásvezetői vagy legalább 120 órás robbantómesteri, bányafelügyeleti vizsgára felkészítő tanfolyamot (a továbbiakban együtt: felkészítő tanfolyam) szervezhet. A jóváhagyás iránti kezdeményezés tartalmazza
a) a felkészítő tanfolyam óraszámát, részletes tananyagát, az oktatáshoz felhasznált eszközöket, a gyakorlati oktatás helyszínét és menetét,
b) az előadók nevét, szakképzettségét és szakmai gyakorlati idejét,
c) a vizsga időpontjára vonatkozó javaslatot, valamint
d) a vizsgabizottság tagjaira vonatkozó javaslatot.
(2) A felkészítő tanfolyam előadója felsőfokú végzettséggel és robbantásvezetői engedéllyel rendelkező személy lehet.
(3) A felkészítő tanfolyam képzési anyagát az 1. melléklet tartalmazza.
(4) Bányafelügyeleti vizsgát az tehet, aki az (1) bekezdés szerinti felkészítő tanfolyam előírt óraszámának legalább 80%-án jelen volt.
(5) Robbantástechnikai szakmérnök felkészítő tanfolyamon történő részvétel nélkül is tehet vizsgát.
(6) A vizsgabizottság elnökből és két tagból áll. A bányafelügyeleti vizsga helyét és időpontját, valamint a vizsgabizottság tagjait a Szabályozott Tevékenységek Felügyeleti Hatóságának elnöke jelöli ki. A vizsgabizottság elnöke a Szabályozott Tevékenységek Felügyeleti Hatóságával köztisztviselői jogviszonyban álló személy lehet.
(7) A bányafelügyeleti vizsgán résztvevő vizsgázó sikeres vagy sikertelen minősítést kaphat. A bányafelügyeleti vizsgát a vizsgabizottság akkor minősíti sikeresnek, ha az elméleti és gyakorlati ismeretekből megszerezhető pontok 60%-át a vizsgázó egyaránt megszerzi. A vizsgabizottságnak a bányafelügyeleti vizsga eredményéről hozott döntése ellen panasznak nincs helye. Sikertelen vizsga esetén a vizsgát negyedév elteltével lehet megismételni."
6. § A Rendelet 5. alcím címe helyébe a következő alcím cím lép:
"5. A robbanóanyag gyártására vonatkozó általános rendelkezések"
7. § A Rendelet 5. alcíme a következő 6/A. §-sal egészül ki:
"6/A. § Az e fejezetben foglalt feladatok ellátásáért és kötelezettségek teljesítéséért - az e fejezetben foglalt eltérő rendelkezés hiányában - a gyártó felel."
8. § A Rendelet 7. § (3) bekezdése helyébe a következő rendelkezés lép:
"(3) Az "RV-besorolású" építményben az építtető olyan hűtő-, légtechnikai és egyéb villamos berendezéseket, gyártmányokat helyezhet el vagy építhet be, amelyek robbanóanyaggal érintkezhető bármely részének hőmérséklete nem haladja meg a 70 °C-ot, megengedett terhelésű folytonos üzem esetében sem."
9. § A Rendelet 9. § (1) és (2) bekezdése helyébe a következő rendelkezések lépnek:
"(1) A gyártó a gyártás építményeinek robbanóanyagot tartalmazó helyiségeit, szabadtereit az építésre, az épületgépészeti és a villamos berendezésekre vonatkozó követelmények megállapítása céljából a (2)-(5) bekezdés szerinti veszélyességi fokozatokba sorolja. Azokban a helyiségekben és szabadtereken, ahol a fokozottan tűz- vagy robbanásveszélyes osztályba tartozó gáznak, gőznek vagy pornak a jelenlétével számolni kell, a zónahatárokat is meg kell határozni.
(2) "RV-1" veszélyességi fokozatba tartozik az a robbanóanyagot tartalmazó helyiség vagy szabadtér, amelynek légterében robbanóanyag gőzének, porának, kondenzátumának, és a fokozottan tűz- vagy robbanásveszélyes osztályba tartozó gáznak, gőznek vagy pornak
a) veszélyes mértékű, állandó vagy időszakos jelenlétével, lerakódásával vagy
b) üzemszerűen nem veszélyes, de üzemzavar vagy előrelátható meghibásodás esetén veszélyes mértékű vagy módú előfordulásával
kell számolni."
10. § A Rendelet 7. alcím címe helyébe a következő alcím cím lép:
"7. A gyártó létesítményekre vonatkozó telepítési előírások"
11. § A Rendelet 8. alcím címe helyébe a következő alcím cím lép:
"8. A robbanóanyag gyártására szolgáló építmények belső védelmi rendszerének kialakítása"
12. § A Rendelet 11. §-a a következő (16) bekezdéssel egészül ki:
"(16) Az "RV besorolású" helyiségekben az ott jelenlévő robbanóanyag jellemzőinek megfelelő automata tűzoltó berendezést kell létesíteni."
13. § A Rendelet 9. alcím címe helyébe a következő alcím cím lép:
"9. A robbanóanyag gyártására szolgáló építmények külső védelmi rendszerének kialakítása"
14. § (1) A Rendelet 15. § (3) bekezdés b) pontja helyébe a következő rendelkezés lép:
(Az "RV-besorolású" helyiségek elválasztására szolgáló terelőfalat a következők szerint kell kialakítani:)
"b) a terelőfal anyaga helyszínen öntött monolit vasbeton vagy betonelemekből épített zárt szerkezet, amelynek a betonozását vagy szerelését csak a terv szerinti munkahézagoknál szabad megszakítani,"
(2) A Rendelet 15. § (7) bekezdés a) pontja helyébe a következő rendelkezés lép:
(Az "RV-besorolású" helyiség ajtajának létesítési követelményei a következők:)
"a) az ajtónak tűzállósági szempontból az Országos Tűzvédelmi Szabályzatról szóló miniszteri rendelet szerinti tűzvédelmi osztályúnak kell lennie, a kifúvófalban lévő ajtó kivételével, amely lehet tűzvédelmi osztályba nem sorolt is; valamint az "RV-1" és "RV-2" besorolású helyiségnél EI 30, az "RV-3" és "RV-4" besorolású helyiségnél EI 15 tűzállósági teljesítményűnek kell lennie,"
15. § A Rendelet 11. alcím címe helyébe a következő alcím cím lép:
"11. A gyártó létesítmény közlekedési útjaira vonatkozó előírások"
16. § A Rendelet 12. alcím címe helyébe a következő alcím cím lép:
"12. A gyártó létesítmény növényzete"
17. § A Rendelet 15. alcím címe helyébe a következő alcím cím lép:
"15. A gyártó létesítmény víz- és csatornarendszere"
18. § A Rendelet 16. alcím címe helyébe a következő alcím cím lép:
"16. A gyártó létesítmény fűtése, hűtése"
19. § A Rendelet 17. alcím címe helyébe a következő alcím cím lép:
"17. A gyártó létesítmény légtechnikai rendszere"
20. § A Rendelet 18. alcím címe helyébe a következő alcím cím lép:
"18. A gyártó létesítmény villamos berendezéseinek létesítési előírásai"
21. § A Rendelet 19. alcím címe helyébe a következő alcím cím lép:
"19. Villamos gyártmányok alkalmazhatósága és létesítési követelményei a gyártó létesítményben"
22. § A Rendelet 20. alcím címe helyébe a következő alcím cím lép:
"20. Technológiai berendezések létesítési előírásai a gyártó létesítményben"
23. § A Rendelet 21. alcím címe helyébe a következő alcím cím lép:
"21. A gyártó létesítmény tűzvédelmi berendezéseire vonatkozó előírások"
24. § A Rendelet 46. § (7) bekezdése helyébe a következő rendelkezés lép:
"(7) A próbaüzemeltetésről részletes munkanaplót (műszaknapló) kell vezetni, amelybe a próbaüzemeltetéssel kapcsolatos minden lényeges adatot, eseményt és tapasztalatot be kell jegyezni, hogy azok a későbbiekben visszakereshetőek, az üzemszerű gyártás technológiai dokumentációjának elkészítéséhez felhasználhatóak legyenek. A munkanaplót a gép vagy berendezés végleges üzemen kívül helyezéséig meg kell őrizni."
25. § A Rendelet 25. alcím címe helyébe a következő alcím cím lép:
"25. A gyártó létesítmény elektrosztatikus feltöltődés elleni védelme"
26. § A Rendelet 27. alcím címe helyébe a következő alcím cím lép:
"27. A gyártó létesítményre vonatkozó tűzvédelmi előírások"
27. § (1) A Rendelet 70. § (1) bekezdése helyébe a következő rendelkezés lép:
"(1) A robbantásvezető
a) ellátja a robbantási munka felügyeletét, ellenőrzését,
b) - az e fejezetben foglalt eltérő rendelkezés hiányában - felel az e fejezetben foglalt feladatok ellátásáért és kötelezettségek teljesítéséért."
(2) A Rendelet 70. § (5) bekezdése helyébe a következő rendelkezés lép:
"(5) Ha a robbantásvezető vagy a robbantómester a hatáskörét meghaladó intézkedés kiadását tartja szükségesnek, vagy a biztonságos munkavégzéshez nem áll rendelkezésére a szükséges technikai felszerelés vagy munkaerő, a személyi biztonság érdekében haladéktalanul intézkedik, és felettesének vagy megbízójának késedelem nélkül jelentést tesz."
28. § (1) A Rendelet 71. § (8) bekezdése helyébe a következő rendelkezés lép:
"(8) A robbantás megkezdése előtt számítással meg kell határozni a szeizmikus biztonsági távolságot. A biztonsági távolságon belül lévő védendő létesítmények esetében a 4. melléklet I. pontja szerint meg kell állapítani a létesítmény statikai jellemzői figyelembevételével a várható rezgésterhelést. A 4. melléklet I. pont 2. alpont 2.3. pontja szerinti képlettel számított rezgési sebesség nem haladhatja meg a 4. melléklet I. pont 2. alpont 2.4. pontjában foglalt besorolás szerinti megengedett rezgési sebesség értéket."
(2) A Rendelet 71. § (9) bekezdés a) pontja helyébe a következő rendelkezés lép:
(Szeizmikus méréssel kell meghatározni a rezgés paramétereit, ha)
"a) a 4. melléklet I. pont 2. alpont 2.4. pontjában foglalt táblázat szerinti különleges védelmet igénylő létesítményeknél a megengedhető rezgési sebesség 80%-át eléri a számított rezgési sebesség,"
29. § A Rendelet 73. § (4) bekezdése helyébe a következő rendelkezés lép:
"(4) A robbantómester
a) a robbanóanyag átvételét az átadó személy által vezetett nyilvántartásban aláírásával igazolja,
b) a Robbanóanyag-felhasználási könyvébe az átvett robbanóanyag megnevezését és mennyiségét bejegyzi, és azt az átadó személlyel igazoltatja,
c) a robbantás helyét és időpontját (év, hó, nap, óra, perc), valamint a felhasználásra kerülő betöltött robbanóanyag mennyiségét a robbantás kezdete előtt bejegyzi a Robbanóanyag-felhasználási könyvébe."
30. § A Rendelet 78. §-a a következő (12) bekezdéssel egészül ki:
"(12) Az elektronikusan programozható gyutacsok alkalmazása esetében a gyártói kezelési utasítás szerint kell eljárni."
31. § A Rendelet 79. § (3) bekezdése helyébe a következő rendelkezés lép:
"(3) A robbantómester ellenőrzi a gyutacsok összekapcsolásának és a kötési helyek szigetelésének, elrendezésének megfelelőségét."
32. § A Rendelet 80. § (3) bekezdése helyébe a következő rendelkezés lép:
"(3) Villamos gyutaccsal való robbantás esetében, ha a robbantógép működtetésekor a robbanás nem következett be, a robbantásvezető vagy a robbantómester leválasztja a robbantóvezetéket a robbantógépről, a vezetékvégeket rövidre zárja, és megállapítja a robbanás elmaradásának okát."
33. § A Rendelet 82. § (3)-(5) bekezdése helyébe a következő rendelkezés lép:
"(3) A várakozási időt a robbantást végző méri.
(4) A robbantást követően - közvetlenül a várakozási idő eltelte után - a robbantást végző vagy a töltetek telepítését és nagyságát ismerő robbantómester a robbantás sikerességéről meggyőződik, az esetleges robbanóanyag maradványt összegyűjti és nyilvántartásba veszi.
(5) A várakozási időt - a külszíni bányászati robbantás kivételével - a robbantásvezető számításokkal határozza meg, és mérésekkel ellenőrzötten adja meg az RTE-ben."
34. § A Rendelet 83. § (7) bekezdése helyébe a következő rendelkezés lép:
"(7) Ha a megállt töltet hatástalanítása nem sikerült, a robbantómester gondoskodik a megállt töltet őrzéséről, és intézkedik aziránt, hogy az általa meghatározott körzetben senki ne tartózkodjon, valamint jelentést tesz az általa megtett intézkedésekről a robbantásvezetőnek."
35. § (1) A Rendelet 88. § (2) bekezdése helyébe a következő rendelkezés lép:
"(2) Sújtólégveszélyes bányában és szénporrobbanás-veszélyes bányában csak sújtólégbiztos robbantást lehet végezni, csak sújtólégbiztos robbanóanyagot, robbantógépet és ellenőrző műszert lehet használni."
(2) A Rendelet 88. § (4) bekezdése helyébe a következő rendelkezés lép:
"(4) Sújtólégveszélyes bánya szénomlasztásos fejtésében, valamint 30°-nál nagyobb dőléssel felfelé szénben hajtott bányatérségében csak kiürített légosztály mellett lehet robbantani."
(3) A Rendelet 88. § (8) bekezdése helyébe a következő rendelkezés lép:
"(8) Sújtólégveszélyes bányában a főteprovokálást kiürített légosztály mellett lehet végezni."
36. § A Rendelet 98. § (3) bekezdése helyébe a következő rendelkezés lép:
"(3) Az első jelzés elhangzásakor az őrség - a robbantást végzők kivételével - mindenkit haladéktalanul a biztonsági távolságon túlra vagy védett helyre küld. Ha a biztonsági távolságon belül építmény van, abból a benntartózkodókat az őrség távozásra szólítja fel, vagy - ha a létesítmény védett helynek minősül - a hely elhagyásának tilalmára figyelmezteti."
37. § A Rendelet 61. alcíme a következő 114/A. §-sal egészül ki:
"114/A. § Az e fejezetben foglalt feladatok ellátásáért és kötelezettségek teljesítéséért - az e fejezetben foglalt eltérő rendelkezés hiányában - a robbantásvezető felel."
38. § (1) A Rendelet 115. § (1) és (2) bekezdése helyébe a következő rendelkezések lépnek:
"(1) A robbanóanyag tulajdonosa a nem megfelelő működésű vagy lejárt szavatossági idejű terméket a gyártó által meghatározott módon 60 napon belül megsemmisíti, kivéve, ha az arra jogosult vizsgáló szervezet azt felülvizsgálat után megfelelőnek minősítette, és a felhasználhatóság időtartamát meghatározta. A felülvizsgálat időtartama nem számít bele a megsemmisítésre meghatározott 60 napos határidőbe.
(2) A robbanóanyag gyártási engedéllyel rendelkező személy a robbanóanyagok gyártása közben vagy a kísérletek és a vizsgálatok során keletkező termékselejt vagy hulladék megsemmisítésének módját, helyét üzemi utasításban szabályozza."
(2) A Rendelet 115. § (4)-(6) bekezdése helyébe a következő rendelkezés lép:
"(4) A robbanóanyag gyártási engedéllyel rendelkező személy a megsemmisítendő anyagokról, termékekről
a) anyagmérleget készít, és
b) nyilvántartást vezet.
(5) A megsemmisítés végrehajtása előtt minden esetben meg kell állapítani az időjárási és talajviszonyokat, valamint figyelembe kell venni azok rövid időn belül várható változásait. A megsemmisítés végrehajtását robbantómester is végezheti.
(6) A robbanóanyagokat - a robbanóanyagok fajtájától és a helyi körülményektől függően - a robbantásvezető döntése alapján robbantással vagy elégetéssel lehet megsemmisíteni."
39. § A Rendelet 64. alcíme a következő 117/A. §-sal egészül ki:
"117/A. § Az e fejezetben foglalt feladatok ellátásáért és kötelezettségek teljesítéséért - az e fejezetben foglalt eltérő rendelkezés hiányában - a robbanóanyag tárolását végző személy felel."
40. § A Rendelet 126. § (1) bekezdése helyébe a következő rendelkezés lép:
"(1) Természetes vagy állandó beépítésű hálózati világítás hiányában raktárban, tárolóban, tárolóhelyiségben, tárolókamrában, tárolótérben a környezetre gyújtási veszélyt nem jelentő világítást lehet használni, nyílt láng használata és a dohányzás tilos."
41. § A Rendelet 70. alcíme a következő 165/A. §-sal egészül ki:
"165/A. § Az e fejezetben foglalt feladatok ellátásáért és kötelezettségek teljesítéséért - az e fejezetben foglalt eltérő rendelkezés hiányában - a gyártó vagy a robbanóanyag felhasználási engedéllyel rendelkező személy felel."
42. § A Rendelet 174. § (4) bekezdése helyébe a következő rendelkezés lép:
"(4) Robbanóanyag-szállító gépkocsit csak olyan személy vezethet, akinek a járműkategóriára érvényes jogosítványa van, a szállítandó robbanóanyag veszélyes tulajdonságait, valamint a szállítási előírásokat - előzetes oktatás alapján - ismeri, valamint az előzetes oktatás során elsajátított ismeretanyagról készített írásos dokumentáció a birtokában van."
43. § A Rendelet a következő 179/A. §-sal egészül ki:
"179/A. § (1) Az a személy, aki az Általános Robbantási Biztonsági Szabályzatról szóló 27/2022. (I. 31.) SZTFH rendelet módosításáról szóló 15/2024. (IX. 9.) SZTFH rendelet (a továbbiakban: Módr.1) hatálybalépését megelőző napon határozott idejű robbantásvezetői vagy robbantómesteri engedéllyel rendelkezik, az engedélyében szereplő határozott idő lejártáig járhat el robbantásvezetőként vagy robbantómesterként. A határozott idő lejártát követően e személyek tekintetében a robbantásvezetői vagy robbantómesteri engedély kiadására az e rendeletnek a Módr.1-gyel megállapított rendelkezéseit - a (2) bekezdésben foglalt eltéréssel - kell alkalmazni.
(2) Az (1) bekezdés szerinti robbantásvezető 32 órás, robbantómester pedig 16 órás csökkentett óraszámú felkészítő tanfolyam elvégzését követően tehet bányafelügyeleti vizsgát."
44. § A Rendelet 1. melléklete helyébe az 1. melléklet lép.
45. § A Rendelet 3. melléklete a 2. melléklet szerint módosul.
46. § A Rendelet 4. melléklete a 3. melléklet szerint módosul.
47. § A Rendelet 6. melléklete helyébe a 4. melléklet lép.
48. § A Rendelet
1. 4. § (1) bekezdésében a "megfelelő" szövegrész helyébe a "legalább középfokú műszaki" szöveg,
2. 6. § (6) bekezdésében a "robbantás-vezetőnek" szövegrész helyébe a "robbantásvezetőnek" szöveg,
3. 8. § (1) bekezdésében a "robbantóanyag-raktárakra" szövegrész helyébe a "robbanóanyag-raktárakra" szöveg, a "kell kijelölni" szövegrész helyébe az "a robbantásvezető jelöli ki" szöveg,
4. 9. § (3)-(5) bekezdésében az "A vagy B tűzveszélyességi osztályú" szövegrész helyébe a "fokozottan tűz- vagy robbanásveszélyes osztályba tartozó" szöveg,
5. 9. § (6) bekezdésében az "A gyártó építmény" szövegrész helyébe az "A robbanóanyag gyártó építmény (a továbbiakban: gyártó építmény)" szöveg,
6. 9. § (8) bekezdésében az "A gyártó létesítményt" szövegrész helyébe az "A robbanóanyag gyártó létesítményt (a továbbiakban: gyártó létesítmény)" szöveg,
7. 11. § (15) bekezdésében a "védőképességét modellkísérletekkel kell ellenőrizni" szövegrész helyébe a "védőképességét a létesítmény üzemeltetője modellkísérletekkel ellenőrzi" szöveg,
8. 12. § (5) bekezdés c) pontjában a "vasbeton" szövegrész helyébe a "vasbeton vagy betonelemekből épített zárt szerkezet" szöveg,
9. 22. § (6) bekezdésében a "robbantóanyag" szövegrész helyébe a "robbanóanyag" szöveg,
10. 32. § (2) bekezdésében az "az A vagy B tűzveszélyességi osztályú" szövegrész helyébe az "a fokozottan tűz- vagy robbanásveszélyes osztályba tartozó" szöveg,
11. 40. § (5) bekezdésében az "illetve az A és B tűzveszélyességi osztályú" szövegrész helyébe a "továbbá a fokozottan tűz- vagy robbanásveszélyes vagy a mérsékelten tűzveszélyes osztályba tartozó" szöveg,
12. a 23. alcím címében az "üzemi" szövegrész helyébe a "gyártóüzemi" szöveg,
13. 50. § (1) bekezdésében az "ellenőrizni kell" szövegrész helyébe az "a gyártó ellenőrzi" szöveg,
14. 68. § (4) bekezdésében a "robbantóanyag" szövegrész helyébe a "robbanóanyag" szöveg,
15. 68. § (5) bekezdésében a "robbantóanyag" szövegrész helyébe a "robbanóanyag" szöveg,
16. 69. § (1) bekezdés nyitó szövegrészében az "A mentesítő munkálatokról naprakész munkanaplót kell vezetni, amelybe be kell jegyezni" szövegrész helyébe az "A gyártó a mentesítő munkálatokról munkanaplót vezet, amelybe bejegyzi" szöveg,
17. 69. § (3) bekezdésében a "vezető köteles" szövegrész helyébe a "vezető" szöveg és a "bejegyezni" szövegrész helyébe a "bejegyzi" szöveg,
18. 69. § (6) bekezdésében a "robbantóanyag" szövegrész helyébe a "robbanóanyag" szöveg,
19. 70. § (2) bekezdésében a "robbantás-vezetőnek kell irányítani" szövegrész helyébe a "robbantásvezető irányítja" szöveg,
20. 70. § (3) bekezdésében az "a robbantás-vezetőnek rendszeresen ellenőrizni kell" szövegrész helyébe az "a robbantásvezető rendszeresen ellenőrzi" szöveg,
21. 70. § (4) bekezdésében a "robbantás-vezető haladéktalanul köteles intézkedni" szövegrész helyébe a "robbantásvezető haladéktalanul intézkedik" szöveg és a "megszüntetésére" szövegrész helyébe a "megszüntetése iránt" szöveg,
22. 72. § (5) bekezdésében a "köteles - szükség esetén őrökkel - biztosítani" szövegrész helyébe a "- szükség esetén őrökkel - biztosítja" szöveg,
23. 72. § (6) bekezdésében a "robbantómester köteles" szövegrész helyébe a "robbantómester" szöveg és a "közölni" szövegrész helyébe a "közli" szöveg,
24. 72. § (7) bekezdésében a "köteles kijelölni" szövegrész helyébe a "jelöli ki" szöveg,
25. 72. § (8) bekezdésében a "köteles elhagyni" szövegrész helyébe a "hagyja el" szöveg,
26. 73. § (2) bekezdésében a "robbantómester köteles a robbanóanyag mennyiségét ellenőrizni" szövegrész helyébe a "robbantómester ellenőrzi a robbanóanyag mennyiségét" szöveg,
27. 74. § (4) bekezdésében a "köteles ellenőrizni" szövegrész helyébe az "ellenőrzi" szöveg,
28. 88. § (1) bekezdés c) pontjában a "valamint" szövegrész helyébe az "és" szöveg,
29. 88. § (5) bekezdésében az "A II. és III. osztályú sújtóléges" szövegrész helyébe a "Sújtólégveszélyes" szöveg,
30. 88. § (7) bekezdés j) pontjában a "valamint" szövegrész helyébe az "és" szöveg,
31. 98. § (4) bekezdésében a "köteles a tényt azonnal a robbantómester tudomására hozni" szövegrész helyébe az "erről a tényről azonnal tájékoztatja a robbantómestert" szöveg,
32. 100. § (1) bekezdésében a "robbantás-vezetőnek" szövegrész helyébe a "robbantásvezetőnek" szöveg,
33. 110. § (1) bekezdés nyitó szövegrészében az "A robbantószerkezetek" szövegrész helyébe az "A robbantásvezető a robbantószerkezetek" szöveg és a "kell készíteni" szövegrész helyébe a "készít" szöveg,
34. 112. § (1) bekezdésében az "úgy kell nyilvántartani" szövegrész helyébe az "a raktárkezelő úgy tartja nyilván" szöveg,
35. 118. § (1) bekezdésében a "robbantóanyag-raktárban" szövegrész helyébe a "robbanóanyag-raktárban" szöveg,
36. 121. § (2) bekezdésében a "köteles őrizni" szövegrész helyébe az "őrzi" szöveg,
37. 124. § (4) bekezdésében az "és igazoltatni" szövegrész helyébe az "és az átadó vagy az átvevő általi aláírással igazoltatni" szöveg,
38. 127. § (1) bekezdésében a "robbantóanyag" szövegrész helyébe a "robbanóanyag" szöveg,
39. 128. § (3) bekezdésében a "köteles meghatározni" szövegrész helyébe a "határozza meg" szöveg,
40. 129. § (5) bekezdés záró szövegrészében a "tárolható" szövegrész helyébe a "tárolható együtt" szöveg,
41. 129. § (6) bekezdés b) pontjában a "gyutacs" szövegrész helyébe a "gyutacs, vagy" szöveg,
42. 137. § (2) bekezdésében a "robbantóanyag" szövegrész helyébe a "robbanóanyag" szöveg,
43. 137. § (3) bekezdésében a "robbantóanyagot" szövegrész helyébe a "robbanóanyagot" szöveg,
44. 137. § (5) bekezdésében a "Robbantóanyagot" szövegrész helyébe a "Robbanóanyagot" szöveg,
45. 137. § (6) bekezdésében a "konténernél" szövegrész helyébe a "konténer bejárata közelében - a konténeren kívül -" szöveg,
46. 137. § (7) bekezdésében az "A-B tűzveszélyességi osztályba tartozó veszélyességi övezet" szövegrész helyébe a "fokozottan tűz- vagy robbanásveszélyes övezet" szöveg,
47. 138. § (3) bekezdésében a "robbanóanyag (vagy robbanóanyagok)" szövegrész helyébe a "robbantóanyag" szöveg,
48. 138. § (4) bekezdésében a "robbanóanyag (vagy robbanóanyagok)" szövegrész helyébe a "robbantóanyag" szöveg,
49. 138. § (6) bekezdésében a "robbanóanyag" szövegrész helyébe a "robbantóanyag" szöveg,
50. 139. § (1) bekezdésében a "robbanóanyagot" szövegrész helyébe a "robbantóanyagot" szöveg, a "robbanóanyagok" szövegrész helyébe a "robbantóanyagok" szöveg,
51. 145. § (1) bekezdésében a "robbanóanyag" szövegrész helyébe a "robbantóanyag" szöveg,
52. 145. § (2) bekezdés d) pontjában az "5000 db-ot" szövegrész helyébe az "5000 db-ot vagy" szöveg,
53. 145. § (3) bekezdésében a "robbanóanyagokat és a robbanóanyagot tartalmazó tárgyakat" szövegrész helyébe a "robbantóanyagokat" szöveg,
54. 150. § (3) bekezdésében az "illetve" szövegrész helyébe az "és" szöveg,
55. 154. § (3) bekezdésében az "illetve" szövegrész helyébe az "és" szöveg,
56. 157. § (1) bekezdésében az "illetve" szövegrész helyébe a "vagy" szöveg,
57. 166. § (5) bekezdésében a "köteles gondoskodni" szövegrész helyébe a "gondoskodik" szöveg,
58. 170. § (3) bekezdésében a "köteles a szállítási útvonalat írásban közölni" szövegrész helyébe az "írásban közli a szállítási útvonalat" szöveg,
59. 174. § (9) bekezdésében az "oldalfal" szövegrész helyébe az "oldal- és hátfal" szöveg,
60. 178. § (5) bekezdésében a "köteles gondoskodni" szövegrész helyébe a "gondoskodik" szöveg,
61. 2. melléklet 4. pontjában a "robbantóanyag-raktár" szövegrész helyébe a "robbanóanyag-raktár" szöveg,
62. 2. melléklet 5. pontjában a "robbantóanyag-raktár" szövegrész helyébe a "robbanóanyag-raktár" szöveg,
63. 2. melléklet 6. pontjában a "4187" szövegrész helyébe a "4564" szöveg,
64. 2. melléklet 8. pont nyitó szövegrészében az "illetve" szövegrész helyébe az "és" szöveg,
65. 2. melléklet 8. pont f) alpont fa) pontjában a "robbantóanyag-raktárnál" szövegrész helyébe a "robbanóanyagraktárnál" szöveg,
66. 3. melléklet 1. pontjában az "illetve" szövegrész helyébe a "vagy" szöveg,
67. 3. melléklet 5. pont 5.2. alpontjában az "illetve" szövegrész helyébe a "vagy" szöveg,
68. 3. melléklet 6. pont 6.5. alpontjában az "illetve" szövegrész helyébe az "és" szöveg
lép.
49. § Hatályát veszti a Rendelet
4. 44. alcíme,
5. 163. § (2) bekezdés nyitó szövegrészében a "fokozottan" szövegrész,
6. 172. § (2) bekezdésében az "E rendelkezés nem vonatkozik a II. és III. osztályú sújtóléges bányákra." szövegrész,
7. 77. alcíme,
8. 4. melléklet I. pont 2. alpont 2.5. és 2.6. pontja.
50. § Ez a rendelet a kihirdetését követő 8. napon lép hatályba.
51. § (1) Ez a rendelet a belső piaci szolgáltatásokról szóló, 2006. december 12-i 2006/123/EK európai parlamenti és tanácsi irányelvnek való megfelelést szolgálja.
(2) E rendelet tervezetének a műszaki szabályokkal és az információs társadalom szolgáltatásaira vonatkozó szabályokkal kapcsolatos információszolgáltatási eljárás megállapításáról szóló, 2015. szeptember 9-i (EU) 2015/1535 európai parlamenti és tanácsi irányelv 5-7. cikkében előírt egyeztetése megtörtént.
Dr. Nagy László s. k.,
elnök
1. melléklet a 15/2024. (IX. 9.) SZTFH rendelethez
"1. melléklet a 27/2022. (I. 31.) SZTFH rendelethez
Robbantásvezetői és robbantómesteri felkészítő tanfolyam tananyaga
I. Általános ismeretanyag minden érvényességi körhöz kapcsolódóan
1. Robbanóanyag-ismeret
1.1. robbanóanyagok legfontosabb jellemzői
1.2. robbanóanyagok osztályozása
1.3. robbanóanyagok térfogati és súlyereje
1.4. indító töltetek legfontosabb tulajdonságai
1.5. gyutacstípusok és jellemzőik
1.6. helyszíni keveréssel előállított robbanóanyagok
1.7. robbanási lánc fogalma
1.8. robbanóanyag azonosítása, elektronikus nyomonkövetési rendszere
2. Robbantás-technikai eszközök
2.1. villamos és elektronikus gyutacsok és villamos robbantóhálózat ellenőrzésére szolgáló műszerek
2.2. elektronikus gyutacsok programozó és adatgyűjtő műszere (logger)
2.3. robbantógép teljesítmény-vizsgáló műszerek
2.4. szeizmométerek és léglökésmérő műszerek
2.5. szigetelésszilárdság vizsgáló műszerek
2.6. földzárlat vizsgáló műszer
2.7. egyéb műszerek, különösen GPS-ek, falszkennerek, lyukferdeség mérők, viharjelző készülékek
2.8. robbantólyukak víztelenítése szivattyúval
2.9. számítógépes szimuláló programok
3. Robbantóhálózatok
3.1. villamos, NONEL és elektronikus gyutacsokból kialakított robbantóhálózatok
3.2. indító töltetekkel szembeni követelmények
3.3. robbantóhálózatok hibakeresése
4. Robbantási technológiai előírás (RTE) és egyéb műszaki leírások készítése
5. Engedélyezési eljárások
5.1. robbanóanyag felhasználási engedélyezés
5.2. robbanóanyag megszerzési engedélyezés
5.3. robbanóanyag megsemmisítési engedélyezés
5.4. robbanóanyag tárolásának engedélyezése
6. Robbanóanyag tárolása, szállítása
6.1. robbanóanyag raktárak típusai
6.2. raktárkezelő feladatai
6.3. robbanóanyag nyilvántartása (raktárkönyv és felhasználási könyv)
6.4. robbanóanyag munkahelyi szállítása
6.5. robbanóanyag szállítólevele és szállítmánykísérő okmányok
6.6. közúti szállítás, alapszintű, a Veszélyes Áruk Nemzetközi Közúti Szállításáról szóló Európai Megállapodással (ADR) kapcsolatos ismeretek
7. Robbantások környezeti hatásai és azok csökkentési módjai
7.1. szeizmikus hatás
7.2. repeszhatás
7.3. léglökés
7.4. mérgező gázok és porok
7.5. töltet elállások okai és megszüntetési módjuk
8. Robbanóanyag megsemmisítése
8.1. megsemmisítés égetéssel
8.2. megsemmisítés robbantással
9. Jogszabályi ismeretek
9.1. az Általános Robbantási Biztonsági Szabályzatról szóló 27/2022. (I. 31.) SZTFH rendelet
9.2. a polgári felhasználású robbanóanyagok forgalmazásáról és felügyeletéről szóló 121/2016. (VI. 7.) Korm. rendelet
9.3. a polgári felhasználású robbanóanyagok forgalmazásáról és felügyeletéről szóló 28/2022. (I. 31.) SZTFH rendelet
II. Érvényességi körönként
1. Külszíni bányászati és általános külszíni robbantási munka tananyaga
1.1. Általános ismeretanyag (I. rész anyaga)
1.2. Elmélet
1.2.1. kőbányászati nagyfúrólyukas technológiák paraméterei
1.2.2. külszíni nagyfúrólyukas robbantásoknál szükséges mérések és a nemkívánatos hatások szimulációja, különösen falszkennelés, 3D-s modellek készítése, lyukferdeség mérés
1.2.3. töltet szerkezetek (folytonos, osztott, légréses)
1.2.4. robbantólyukak víztelenítésének eszközei, módszerei
1.2.5. rátett töltetekkel végzett robbantások
1.2.6. kontúrozás
1.2.7. külszíni robbantások esettanulmányai
1.2.8. teendők megállt töltet esetében
1.2.9. robbantásoknál alkalmazott jelzésrendek (kéz- és hangjelzések)
1.3. Gyakorlat
1.3.1. a robbantóhálózat kialakítása (soros, párhuzamos hálózatok)
1.3.2. gyutacsok kezelése, elhelyezése
1.3.3. ellenállás mérés
1.3.4. elektronikus gyutacsok programozása
1.4. Teendők rendkívüli események bekövetkezése esetén
2. Szeizmikus robbantási munka tananyaga
2.1. Általános ismeretanyag (I. rész anyaga)
2.2. Elmélet
2.2.1. szeizmikus robbantások típusai
2.2.2. kis mélységű szeizmikus kutató robbantások
2.2.3. nagy mélységű szeizmikus kutató robbantások
2.2.4. szeizmikus kutató robbantások robbanóanyagai és gyutacsai
2.2.5. egyedi és csoportos robbantások
2.2.6. reflexiós és refrakciós vizsgálatok
2.2.7. a vibroszeiz eljárás
2.3. Gyakorlat
2.3.1. a mérési vonalak (terítések) felkutatása és megismerése
2.3.2. a robbantólyukak méreteinek ellenőrzése
2.3.3. a töltetek indításának lehetőségei
2.3.4. robbantás a terítés felszínén
2.4. Teendők rendkívüli események bekövetkezése esetén, kiemelten a megállt töltetek hatástalanítása a telepítési mélység függvényében
3. Kohászati robbantási munka tananyaga
3.1. Általános ismeretanyag (I. rész anyaga)
3.2. Elmélet
3.2.1. a robbanóanyagok hőtűrőképessége
3.2.2. meleg anyagok robbantása
3.2.3. töltési terek kialakítása
3.2.4. töltési terek hűtése
3.2.5. töltetek hővédelme, hőszigetelés
3.2.6. töltetek robbantási ideje
3.2.7. fémek, meredvények vágása, darabolása
3.2.8. különleges (speciális) biztonsági intézkedések
3.3. Gyakorlat
3.3.1. a helyszín és a helyi körülmények alapos megismerése
3.3.2. töltési üreg készítése fúrással vagy oxigén-lándzsával
3.3.3. töltés, élesítés
3.3.4. a robbantóhálózat szigetelése
3.3.5. fémek darabolása vágótöltettel
3.3.6. sajátos - a környezeti zajoktól eltérő - jelzésrend alkalmazása
3.4. Teendők rendkívüli események bekövetkezése esetén
4. Építményrobbantási munka tananyaga
4.1. Általános ismeretanyag (I. rész anyaga)
4.2. Elmélet
4.2.1. műszaki leírás, statikai vizsgálatok
4.2.2. engedélyezési eljárás
4.2.3. töltet szerkezetek (folytonos, osztott, légréses)
4.2.4. biztonsági távolság
4.2.5. mértékadó töltet számítása
4.2.6. védendő létesítmények
4.2.7. repeszhatás csökkentő eszközök alkalmazása, használata
4.2.8. kémények és magas építmények robbantása (bontás - döntés)
4.2.9. roncsolási sávok geometriája (ún. "kapaszkodó" vagy "gördülő" felületek kialakítása)
4.2.10. forgási tengely helye különböző anyagú objektumoknál
4.2.11. robbantásos épületbontást megelőző építési és bontási munkák
4.2.12. fémszerkezetek robbantása lineáris és flexibilis fémvágó, kumulatív töltetekkel
4.2.13. víznívó alatti műtárgyak robbantása
4.2.14. közművezetékek védelme építmények döntésénél
4.2.15. közműkezelők és lakosság tájékoztatása
4.2.16. robbantási terület lezárása
4.2.17. védendő objektumoknál szeizmikus és léglökés mérés
4.2.18. robbantási jegyzőkönyv elkészítése
4.3. Gyakorlat
4.4. Teendők rendkívüli események bekövetkezése esetén
5. Víz alatti és jégrobbantási munka tananyaga
5.1. Általános ismeretanyag (I. rész anyaga)
5.2. Elmélet
5.2.1. vonatkozó vízügyi jogszabályok
5.2.2. együttműködés más szervezetekkel
5.2.3. robbantások végrehajtása védekezési időszakban
5.2.4. robbantások végrehajtása védekezési időszakon kívül
5.2.5. a jég alakulása álló- és folyóvízben
5.2.6. felhasználható robbanóanyagok és azok elhelyezése víz alatti térben
5.2.7. robbantógépek, robbantóhálózat ellenőrző műszer
5.2.8. a jégrobbantás célja, technológiája,
5.2.9. jégrobbantási módok
5.2.9.1. zajló jég, karéjjég robbantása
5.2.9.2. összefüggő jégtakaró, valamint torlódott jég robbantása
5.2.9.3. jégrobbantás jégtörő hajóról, illetve helikopterről
5.2.9.4. nyílt felszínű csatornák hó- és jégmentesítése robbantással
5.2.10. különleges robbantó töltetek, különösen jéglyukasztó töltet, helyszínen tölthető irányított töltet, rádobott töltet és ezek szakfelszerelései
5.3. Gyakorlat
5.4. Teendők rendkívüli események bekövetkezése esetén
6. Mélyfúrási robbantási munka tananyaga
6.1. Általános ismeretanyag (I. rész anyaga)
6.2. Elmélet
6.2.1. a fúrólyuk-bélelés célja
6.2.2. béléscsövek perforálása, a lyukmélység befolyása a perforálás hatékonyságára
6.2.3. perforátor puskák típusai, működésük
6.2.4. mélyfúrásoknál használatos nyomás- és hőálló robbanóanyagok és gyutacsok
6.2.5. pakker ültetés
6.2.6. rudazat szabadítás, vágás
6.2.7. a torpedózás célja és elméleti megalapozása
6.2.8. a kumulatív töltet feladata és kialakítása
6.2.9. kőzetminta vételére szolgáló eszköz és annak robbanóanyaga
6.3. Gyakorlat
6.3.1. oldalfal mintavétel
6.3.2. perforálás
6.3.3. a perforátor-puska felépítése és használata
6.3.4. a torpedók fajtái és alkalmazási körük
6.3.5. a megszorult szerszámok kiemelése robbantással
6.3.6. a kút hozamnövelése perforálással
6.4. Teendők rendkívüli események bekövetkezése esetén
6.4.1. a megállt töltetek hatástalanítása
6.4.2. kivitelezési követelmények, különösen kettős indítás, a lyuk és a szerkezet átmérőjének aránya, rátöltés
7. Földalatti robbantási munka tananyaga
7.1. Általános ismeretanyag (I. rész anyaga)
7.2. Elmélet
7.2.1. lyuktípusok vágat- és alagúthajtások robbantásánál
7.2.2. betörések szerepe, kialakítási módok
7.2.3. frontfejtések robbantási technológiái (fülke-, közkő robbantása, főteprovokálás)
7.2.4. kontúrozó robbantás
7.2.5. robbantóállomás helyének kijelölése földalatti robbantásoknál
7.2.6. füstrevárási idő meghatározása földalatti robbantásoknál
7.2.7. speciális robbantások (fémbiztosítások kirablása, falazatok, gátak bontása robbantással, gurítók/bunkerek lazító robbantása)
7.3. Gyakorlat
7.4. Teendők rendkívüli események bekövetkezése esetén"
2. melléklet a 15/2024. (IX. 9.) SZTFH rendelethez
1. A Rendelet 3. melléklet 9. pontja helyébe a következő rendelkezés lép:
"9. biztonsági távolság meghatározása, a repeszhatás csökkentésének szükségessége, lehetőségei, különösen a repeszhatás csökkentése érdekében a védendő létesítmények vonatkozásában alkalmazott geotextília vagy drótfonat és geotextília együttes alkalmazásának, elhelyezésének módja, a felhasználandó anyagok típusának megnevezése, vastagsága, g/m2 értéke és az átfedések mérete, formája"
2. A Rendelet 3. melléklet 15. pontja helyébe a következő rendelkezés lép:
"15. az élet- és vagyonbiztonság érdekében szükséges egyéb intézkedések, különösen az elektromos vezeték feszültségmentesítése, csővezeték túlnyomásmentesítése, a hatásterületen belül lévő építmények esetében a szeizmikus mérések helyeinek kijelölése, az első robbantást megelőzően a hatásterülettel érintett építmények statikai állapotú felmérése"
3. melléklet a 15/2024. (IX. 9.) SZTFH rendelethez
1. A Rendelet 4. melléklet I. pont 1. alpontja helyébe a következő rendelkezés lép:
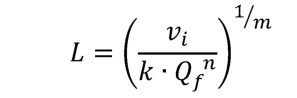
"1. A szeizmikus biztonsági távolságot - ami nem jelenti azonban az épületkárok feltétlen fellépését e távolságon belül - a következő képlettel vagy szakértői véleményben kell meghatározni:

1.1. Az 1. pontban foglalt képlet alkalmazásában
1.1.1. "L": a szeizmikus biztonsági távolság m-ben,
1.1.2. "Qf": a mértékadó töltet tömege kg-ban,
1.1.3. "k", "n" és "m": a robbantás körülményeit figyelembe vevő tényezők, a következő táblázat adatai szerint
konstansok | kristályos kőzet | eruptív kőzet | üledékes kőzetek | |||
gránit, granodiorit | andezit, bazalt, gneisz | kristályos mészkő | dolomit | egyéb üledékes kőzet | pala, agyag | |
k | 206 | 235 | 646 | 897 | 969 | 1299 |
n | 0,80 | 0,80 | 0,59 | 0,68 | 0,60 | 0,60 |
m | -1,3 | -1,27 | -1,52 | -1,51 | -1,50 | -1,52 |
"
2. A Rendelet 4. melléklet I. pont 2. alpont 2.3. pontja helyébe a következő rendelkezés lép:
"2.3. A várható rezgési sebesség értékének előzetes becslésére a következő képletet kell alkalmazni:

2.3.1. A 2.3. pontban foglalt képlet alkalmazásában
2.3.1.1. "v": a rezgési sebesség (mm/s),
2.3.1.2. "Qf": a mértékadó töltet tömege (kg),
2.3.1.3. "l": a robbantás és a védendő objektum közötti távolság (m),
2.3.1.4. "k", "n" és "m" a robbantás körülményeit figyelembe vevő tényezők, az 1. pont 1.1. alpont 1.1.3. pontja szerinti táblázat adatai szerint."
3. A Rendelet 4. melléklet I. pont 2. alpont 2.4. pontja helyébe a következő rendelkezés lép:
"2.4. A megengedett rezgési sebességeket a következő táblázat alapján kell kiválasztani. A három frekvenciasáv közül, ha még nem történt szeizmikus mérés, az f < 10 Hz-hez tartozó megengedett rezgési sebességi értéket kell figyelembe venni. Szeizmikus mérések esetén a rezgések frekvenciája alapján kell kiválasztani a megengedett rezgési sebesség értékét.
Építményfajta | A maximális rezgési sebesség komponens, megengedett értékei, (mm/s) | |||
Az épület alapjánál | A legfelső teljes szint födémsíkjában | |||
f < 10 Hz | f = 10-50 Hz | f = 50-100 Hz | Bármely frekvencián | |
Ipari jellegű épületek, építmények, vasbeton vagy acélvázas építmény, 0,8 m-nél mélyebben vezetett csatorna és egyéb csővezeték, valamint szerelvény és egyéb föld alatti térség, alagút, vasút, közút, függőpálya, villamos távvezeték | 20 | 15 + 0,5f | 30 + 0,2f | 40 |
Lakó- és hasonló jellegű épületek | 5 | 2,5 + 0,25f | 10 + 0,1f | 15 |
Különleges védelmet igénylő létesítmények, műemlékek, termelő kőolaj- és földgázkút, valamint 0,017 MPa-nál nagyobb és 0,07 MPa-nál kisebb nyomás alatt álló csővezeték és szerelvény | 3 | 1,75 + 0,125f | 6 + 0,04f | 8 |
Statikailag bizonytalan, megrongálódott, építési előírásoknak nem megfelelő épületek | Szakértői mérlegelés szerint |
100 Hz feletti frekvenciák esetén az irányérték a 100 Hz-hez tartozó táblázati érték legyen."
4. A Rendelet 4. melléklet II. pont 1. alpont 1.6. pontja helyébe a következő rendelkezés lép:
"1.6. A nagy átmérőjű töltettel végzett kőzetjövesztő robbantás során várható repeszhatás mértékét, a biztonsági zóna kiterjedését a következő képlet szerinti számítással kell meghatározni:

1.6.1. Az 1.6. pontban foglalt képlet alkalmazásában
1.6.1.1. "d": a töltet tényleges átmérője, m-ben;
1.6.1.2. "W": az előtét nagysága, m-ben;
1.6.1.3. "pra" a robbanóanyag töltési sűrűsége, kg/m3-ben;
1.6.1.4. "Q": a robbanóanyag robbanáshője, kJ/kg-ban;
1.6.1.5. "m": a közelségi tényező értéke: a szomszédos töltetek közötti távolság és az előtét hányadosa."
5. A Rendelet 4. melléklet II. pont 1. alpontja a következő 1.7. és 1.8. ponttal egészül ki:
"1.7. Veszélyes mértékű repeszhatás akkor keletkezhet, ha az előtét nagysága és a robbanóanyag átmérőjének hányadosa kisebb vagy egyenlő 20 [W/dra ≤ 20], vagy a fojtás hossza és anyaga nem megfelelő. Az előtét és töltet átmérő hányadosának 20-nál nagyobbnak kell lennie.
1.8. Az 1.6. pont szerint a kivetés irányában meghatározott repeszhatás mértékének a felét kell figyelembe venni a kivetési irányra merőleges oldalakra és a kivetési iránnyal ellentétes oldalra."
6. A Rendelet 4. melléklet II. pont 2. alpontja helyébe a következő rendelkezés lép:
"2. Az 1. alpontban fel nem sorolt esetekben a biztonsági távolságot a használt robbanóanyag fajtájától, a töltet elhelyezésétől, a robbantott, jövesztett anyagtól, a helyi körülményektől és az alkalmazott védőeszközöktől függően a robbantásvezető határozza meg.
2.1. Az 1.6. pont szerinti kifejezéssel meghatározott repeszhatás biztonsági távolsága a kőzetkivetés irányában, a közel függőleges felületeknél akkor érvényes, ha
a) a fojtás hossza, Lf = W, m-ben, de minimum 2,0 m vagy minimum 20 d,
b) a fojtás anyaga: kőzúzalék, és
c) a kőzúzalék mérete: 1/3dly, ahol dly a robbantólyuk átmérője mm-ben.
2.2. Közeli védendő objektumok esetén a robbantási pásztát műszeresen be kell mérni a W/dr.a. ≤ 20 képlet szerint meghatározható helyek megismerése érdekében.
2.3. A W/dr.a. ≤ 20 helyeken a robbantólyukakat inert anyaggal kell feltölteni.
2.4. A robbantólyukak dőlésszöge lehetőleg 90°-os legyen.
2.5. A repeszhatás mértékének csökkentése érdekében az időzítési rendszer kialakításához milliszekundumos gyutacsokat kell használni."
4. melléklet a 15/2024. (IX. 9.) SZTFH rendelethez
"6. melléklet a 27/2022. (I. 31.) SZTFH rendelethez
Villamos gyutacsok osztályozása
A | B | C | D | E | |
1. | Osztályozás | I. osztály | II. osztály | III. osztály | IV. osztály |
2. | Kóboráram biztonság, I (A) | 0,18 < Inf< 0,45 | 0,45 < Inf< 1,2 | 1,20 < Inf< 4 | 4<Inf |
3. | Impulzusérzékenység (mJ/ohm) | 0,5 | 8 | 80 | 500 |
4. | Elektrosztatikus érzékenység, izzógyújtón (mJ/Ώ) | 0,3 | 6 | 60 | 300 |
5. | Elektrosztatikus érzékenység, izzógyújtó és gyutacshüvely között (mJ/Ώ) | 0,6 | 12 | 120 | 600 |
"