13/2017. (XI. 8.) MEKH rendelet
a megújuló energiaforrásból termelt villamos energia működési támogatásának mértékéről
A villamos energiáról szóló 2007. évi LXXXVI. törvény 170. § (5) bekezdés 6., 7. és 8. pontjában kapott felhatalmazás alapján, a Magyar Energetikai és Közmű-szabályozási Hivatalról szóló 2013. évi XXII. törvény 12. § i) pontjában meghatározott feladatkörömben eljárva a következőket rendelem el:
1. A rendelet alkalmazási köre
1. § E rendelet alkalmazási köre kiterjed a megújuló energiaforrásból termelt villamos energia kötelező átvételi és prémium típusú támogatásáról szóló kormányrendelet (a továbbiakban: Metár rendelet) szerinti
a) kötelező átvételre jogosult, új erőműegységet létesítő villamosenergia-termelőkre;
b) a prémium típusú támogatásra jogosult, 1 MW névleges villamos teljesítőképességnél kisebb új erőműegységet létesítő villamosenergia-termelőkre;
c) barna prémiumra jogosult, már működő villamosenergia-termelőkre.
2. Értelmező rendelkezések
2. § (1) E rendelet alkalmazásában:
a) alternatív barna prémium: a fosszilis tüzelőanyag és biomassza vagy biogáz felhasználására egyaránt alkalmas erőműegységek esetében alkalmazható, a Metár rendelet 14. § (4) bekezdése szerinti barna prémium;
b) független szaktanácsadó: felsőfokú műszaki vagy közgazdasági végzettséggel rendelkező szakértő, akinek személyes vagy anyagi érdeke nem fűződik a kérelmezőhöz vagy a beruházáshoz;
c) napkövetős technológia: a termelés optimalizálása érdekében a napelemeket a napsütési viszonyoknak megfelelően folyamatosan és automatikusan mozgató rendszer.
d)[1] támogatási mértékek: a támogatás időtartama, a támogatás alá eső villamos energia maximális mennyisége, valamint a kereskedelmi üzem megkezdésének támogatási jogosultsághoz kapcsolódó határideje.
(2) Az (1) bekezdésben nem szereplő fogalmakat a villamos energiáról szóló 2007. évi LXXXVI. törvény (a továbbiakban: VET) és a végrehajtására kiadott jogszabályokban foglalt meghatározások szerint kell alkalmazni.
3. Kötelező átvétel
3. §[2]
4. §[3]
4. Zöld prémium típusú támogatás
5. §[4]
6. §[5]
5. A zöld prémium és kötelező átvétel típusú támogatás megállapításának keretei
7. § (1)[6] A támogatási mértékeket a Magyar Energetikai és Közmű-szabályozási Hivatal (a továbbiakban: Hivatal) azokra az évekre vonatkozóan határozza meg, amelyekre a megújuló energiaforrásból származó villamos energia termelési támogatás korlátairól és a prémium típusú támogatásra irányuló pályázati eljárásról szóló 62/2016. (XII. 28.) NFM rendelet (a továbbiakban: NFM rendelet) 1. melléklet 1. és 2. táblázatában a kiosztható új támogatási jogosultságok korlátai nulla forintnál nagyobbak.
(2)[7] Az (1) bekezdés szerinti évekre a Hivatal - a (2a) bekezdésben meghatározottak kivételével - a tárgyévet megelőző év november 1. napjáig felülvizsgálja, és ennek alapján meghirdeti a következő naptári évre érvényes támogatási mértékeket, amelyek azokra az új belépőkre vonatkoznak, akik
a) hiánytalan támogatási kérelme a tárgyév kezdetét követően érkezik be a Hivatalhoz, vagy
b) támogatási kérelme az NFM rendeletben megállapított korlátok miatt elutasításra került, de az NFM rendeletnek megfelelően nyilatkozott arról, hogy kéri a támogatási jogosultság új feltételek szerinti megállapítását.
(2a)[8] A napelemes erőművek vonatkozásában az (1) bekezdés szerinti évekre a Hivatal félévente, az adott év május 1. és november 1. napjáig felülvizsgálja, és ennek alapján meghirdeti a következő naptári félévre érvényes támogatási mértékeket, amelyek azokra az új belépőkre vonatkoznak, akik
a) hiánytalan támogatási kérelme a következő naptári félév kezdetét követően érkezik be a Hivatalhoz, vagy
b) támogatási kérelme az NFM rendeletben megállapított korlátok miatt elutasításra került, de az NFM rendeletnek megfelelően nyilatkozott arról, hogy kéri a támogatási jogosultság új feltételek melletti megállapítását.
(3) A támogatások mértékének megállapítása során figyelembe kell venni az észszerű telephelyválasztást, a legkisebb költség elvét és az elérhető legjobb technológiákra vonatkozó hazai és nemzetközi adatokat.
(4) Ha a beruházás, illetve a kötelező átvételen vagy prémium típusú támogatáson kívüli egyéb támogatás több évre elhúzódik, a támogatás arányának kiszámításakor ezek jelenértékét kell figyelembe venni.
(5) A kötelező átvételen vagy prémium típusú támogatáson kívüli egyéb támogatás jelenértékének kiszámításakor az európai uniós versenyjogi értelemben vett állami támogatásokkal kapcsolatos eljárásról és a regionális támogatási térképről szóló 37/2011. (III. 22.) Korm. rendelet szerinti diszkont kamatlábat kell alkalmazni.
(6) Ha a támogatásra vonatkozó jogosultság megállapítását követően az adott villamosenergia-termelő által igénybe vett egyéb támogatás megváltozik, a korábban megállapított jogosultság időtartamát a 3. mellékletben meghatározott képlet szerint kell módosítani.
(7) A támogatás alá eső villamos energia teljes támogatási időszakra megállapított mennyisége a támogatás időtartamával arányosan módosul a (6) bekezdés szerinti esetekben.
(8) A kötelező átvétel vagy a prémium típusú támogatás megállapításakor a Hivatal az energiapolitikáért felelős miniszter által rendeletben megállapított korlátok között jár el.
(9)[9] A Hivatal az európai uniós versenyjogi értelemben vett állami támogatásokkal kapcsolatos eljárásról és a regionális támogatási térképről szóló 37/2011. (III. 22.) Korm. rendelet 18/A-18/D. §-ának megfelelően adatot szolgáltat a Támogatásokat Vizsgáló Iroda részére az 100 000 eurónak megfelelő forintösszeget meghaladó egyedi támogatásokról.
(10) A (9) bekezdéshez kapcsolódóan a támogatástartalmat a 4. melléklet szerinti képletnek megfelelően kell megállapítani.
6. A támogatás megállapításának általános szabályai
8. § (1) A Hivatal a számításokban csak a tényleges pénzáramlással járó költségeket és bevételeket veszi figyelembe. A Hivatal figyelembe veszi ugyanakkor az adott projekthez kapcsolódóan jelentkező költségmegtakarításokat is.
(2) Az időszaki beruházásokat az üzleti tervbe a felmerülésüknek megfelelően kell beírni folyó áron, azokat azonban a Hivatal a számításban a várható élettartam alatt egyenletesen veszi figyelembe olyan módon, hogy összesített jelenértékük ne változzon.
(3) A hőenergia értékesítés átlagárát a Hivatal - a (4) bekezdésben meghatározott kivételekkel - a földgáz hazai nettó végfogyasztói ára alapján veszi figyelembe, az EUROSTAT nagyobb ipari fogyasztókra (100 000-1 000 000 GJ/év fogyasztási kategória) vonatkozó legfrissebb adatai alapján, a további évekre inflációval megegyező mértékű hőenergia árnövekedést feltételezve.
(4) Ha
a) az energiaforrás elérhetősége határozza meg a telepítés helyét és a közelben nincs megfelelő hőigény, vagy
b) a villamosenergia-termelő a távhő árszabályozás hatálya alá esik, és a távhő árszabályozás módszertanát kell alapul venni,
akkor a hőértékesítési árat a kérelmező által benyújtott üzleti terv alapján veszi figyelembe a Hivatal, de azon indokoltsági vizsgálatot végez a felhasznált energiaforrás, a névleges teljesítőképesség, a technológiai sajátosságok, az észszerű telephelyválasztás, a legkisebb költség elve és a legjobb elérhető technológia alapján megvalósított és működtetett beruházások hazai és nemzetközi adatainak figyelembevételével. A kérelmező üzleti tervétől való eltéréseket a Hivatal a határozatában indokolja.
(5) Az inflációt a Magyar Nemzeti Bank (a továbbiakban: MNB) aktuális előrejelzése szerint, az előrejelzés időtávját követő évekre az MNB középtávú inflációs célja alapján kell számításba venni.
(6) A hitelezéssel kapcsolatos költségeket - beleértve a beruházás üzembe helyezése előtt felmerülő költségeket is - a Hivatal a számításokban közvetlenül nem veszi figyelembe, csak a mindenkire egységesen alkalmazandó diszkontrátán keresztül.
7. A kötelező átvétel és a zöld prémium megállapítása
9. § (1) A kötelező átvétel és a zöld prémium támogatási időtartamának meghatározása az 5. mellékletben található képlet alapján történik. Az adott beruházás akkor tekintendő megtérültnek, amikor az 5. melléklet szerint számított nettó jelenérték (NPVn) pozitívvá válik. Az éven belüli értékek meghatározásához lineáris arányosítás alkalmazandó.
(2) A beruházások értékében nem vehetőek figyelembe az adott beruházásra aktivált finanszírozási költségek.
(3) A beruházások értékében a működés megkezdését követően - a (4) bekezdés szerinti kivétellel - csak a működés fenntartásához szükséges időszaki beruházások vehetők figyelembe.
(4) Az üzleti tervben időszaki beruházásként figyelembe vehetőek a tervezett élettartam végén szükséges bezárási és rekultivációs költségek, csökkentve az eszközök és maradékanyagok értékesítéséből származó bevétellel.
(5) A vizsgálat az adott erőműtípus összehasonlító elemzésen alapuló, tervezett élettartamának időtávján történik. A figyelembe vett élettartam legfeljebb 25 év lehet.
(6) A figyelembe vett diszkontráta értéke 6,94%.
(7) Az egyéb bevételek között a Hivatal figyelembe veszi a származási garanciák révén elérhető árbevételt is.
10. § (1) A beruházás adott évben számított maradványértéke a piaci villamosenergia-értékesítés feltételezése melletti, a tervezett élettartamból még hátralévő évekre vonatkozó pénzáramok diszkontált értéke alapján határozandó meg. Az n-edik évre vonatkozó maradványérték meghatározása a 6. mellékletben meghatározott képlet szerint történik.
(2) A villamos energia piaci árait a hazai szervezett villamosenergia-piac fizikai futures jelentései alapján az alábbiak figyelembevételével határozza meg a Hivatal:
a) az elérhető legutóbbi háromhavi jelentés következő 3 naptári évre vonatkozó
aa) napelemes villamosenergia-termelők esetén csúcsidőszaki ("PEAK_avg"),
ab) egyéb villamosenergia-termelők esetén zsinór ("BASE_avg")
havi átlagárainak egyszerű számtani átlaga (EUR/MWh);
b) a további évekre ezen három év átlagos ára;
c) 0,9-es korrekciós szorzó minden évre;
d) az elmúlt egyéves időszakra vonatkozóan az MNB által közzétett napi euró devizaárfolyamok egyszerű számtani átlaga.
(3) A (2) bekezdésben meghatározott paraméterek aktuális értékét a Hivatal havonta közzéteszi a honlapján. Az egyedi vizsgálatoknál a kérelem beérkezésének napjáig a Hivatal által közzétett legfrissebb értékeket kell alkalmazni.
8. Barna Prémium
11. § (1) A barna prémium egyes kategóriáira vonatkozó, tárgyévben érvényes - a VET és a végrehajtására kiadott jogszabályok rendelkezéseinek figyelembevételével meghatározott - támogatott árakat és alternatív barna prémiumokat a 7. melléklet tartalmazza.
(2) A barna prémiummal támogatott villamosenergia-mennyiségre vonatkozó egyéb működési támogatás igénybevétele esetén a 7. mellékletben szereplő támogatott árakat vagy prémiumokat az adott évben kapott egyéb működési támogatás adott évi támogatott mennyiségre jutó fajlagos értékével csökkenteni kell.
(2a)[10] Ha az egyéb működési támogatás mértékét a barna prémium mértékének megállapítását követően, arra figyelemmel állapítják meg, ezt a villamosenergia-termelő 8 napon belül bejelenti a Hivatal részére, a barna prémium mértékének utólagos módosítása nem szükséges.
(2b)[11] Ha az igénybe vett egyéb működési támogatás mértékének változása a tárgyév kezdetét követően jut a Hivatal tudomására, akkor a Hivatal erre vonatkozó határozata alapján a villamosenergia-termelő és a Metár rendelet szerinti befogadó egy összegben számolják el egymással a barna prémiumnak az igénybe vett egyéb működési támogatás változásából adódó módosulását.
(3) A 7. mellékletben nem szereplő esetekre a Hivatal egyedi határozatban állapítja meg a támogatott ár - alternatív barna prémium esetén a barna prémium - mértékét a 8. § és 12. §, valamint a 8. és 9. melléklet szerinti számítási módszertan alapján. Ennek során a Hivatal a kérelmező üzleti tervét veszi alapul, de azon indokoltsági vizsgálatot végez a felhasznált energiaforrás, a névleges teljesítőképesség, a technológiai sajátosságok, az észszerű telephelyválasztás, a legkisebb költség elve és a legjobb elérhető technológia alapján megvalósított és működtetett beruházások (hazai és nemzetközi) adatainak figyelembevételével. A kérelmező üzleti tervétől való eltéréseket a Hivatal a határozatában indokolja.
(4) A Hivatal a (3) bekezdés szerinti egyedi megállapítást alkalmazza akkor is, ha a villamosenergia-termelő igazolni tudja, hogy a 7. melléklet szerinti támogatott árak, illetve prémiumok az erőműegység működési költségeit nem fedezik.
(5) A 7. mellékletben szereplő értékeket a Hivatal minden naptári év november 1. napjáig felülvizsgálja, és ennek alapján meghirdeti a következő naptári évre érvényes értékeket.
(6) A 7. mellékletben nem szereplő, de barna prémiumra jogosult erőműegységek esetén a Hivatal minden naptári év november 1. napjáig felülvizsgálja az adott erőműegységre vonatkozó barna prémium mértékét, és ezt határozatban rögzíti.
(7) A barna prémium típusú támogatás megállapításakor a Hivatal az energiapolitikáért felelős miniszter által rendeletben megállapított korlátok között jár el.
12. § (1) A barna prémium esetében a támogatott árat a biomasszából vagy biogázból termelő erőműegység működési költségei és a várható műszaki élettartam alatti folyamatos működés fenntartásához szükséges pótló beruházások alapján kell kiszámítani.
(2) Alternatív barna prémium kérelmezése esetén - az (1) bekezdéstől eltérően - a prémium mértéke a fosszilis tüzelés és a biomasszával vagy biogázzal történő tüzelés működési költségei közötti különbség alapján állapítandó meg. Vegyes tüzelés esetén a növekményköltségek közötti különbség alapján is megállapítható az alternatív barna prémium mértéke, ha a felhasználni tervezett megújuló energiaforrás tüzelőhő alapján számított éves aránya nem haladja meg a 20%-ot.
(3) Amennyiben az erőmű igazolható módon saját felhasználásra termelt villamos energiát a barna prémiumra való jogosultságának első megállapítása előtt, úgy az alternatív barna prémium kiszámításánál erre irányuló kérelem esetén figyelembe veendő a korábbi saját felhasználási célú villamos energia mennyiség közcélú hálózatba történő betáplálása révén a rendszerhasználati és egyéb költségeken realizált megtakarítás elvesztése is.
(4) A fosszilis tüzelés működési költségei között az erőműnél felmerülő járulékos költségek - így a széndioxid kibocsátással kapcsolatos költségek - is figyelembe veendők.
(5) A barna prémium esetén alkalmazandó támogatott ár kiszámítása a 8. mellékletben található képlet alapján történik.
(6) Alternatív barna prémium esetén - az (5) bekezdéstől eltérően - a prémium kiszámítása a 9. mellékletben található képlet alapján történik.
(7) Alternatív barna prémium kérelmezése esetén a beruházások között az első évben ezirányú kérelem esetén figyelembe veendő a fosszilis tüzelőanyagot felhasználó erőműegységek esetében a biomassza vagy biogáz tüzelésre való átállítás indokolt beruházási költsége is, ha a beruházás kivitelezése a kérelem benyújtását megelőzően még nem kezdődött meg.
(8) Az egyéb bevételek között a Hivatal figyelembe veszi a származási garanciák révén elérhető árbevételt is.
9. Demonstrációs projektté minősítés
13. § (1) A demonstrációs projektté nyilvánítás kérelemre történik, a kérelmet a Hivatalhoz kell benyújtani.
(2) A kérelem a következőket tartalmazza:
a) a kérelmező azonosítására alkalmas adatok, különösen a neve, a cégjegyzék vagy nyilvántartási száma, a székhelye, az elérhetősége (levelezési címe, telefon-, telefaxszáma, e-mail-címe),
b) megvalósítási terv, ennek részeként különösen:
ba) a technológia megnevezése és leírása;
bb) beépített teljesítőképesség;
bc) tervezett beruházási költség és üzleti terv;
bd) a projekt által az Európai Unióban elsőként bemutatott, a technika aktuális állását meghaladó újítás bemutatása;
be) a technológia reprodukálhatóságának bemutatása;
c) a külön jogszabályban meghatározott igazgatási szolgáltatási díj Hivatal részére történő befizetésének pénzintézeti igazolása.
(3) A Hivatal a beérkezett kérelmet formailag és tartalmilag megvizsgálja, minek alapján a kérelmet elutasítja vagy szakvélemény kikérése céljából továbbítja az Európai Bizottságnak a kérelmező egyidejű tájékoztatása mellett.
(4) A kérelem Európai Bizottságnak történő továbbítása esetén a Hivatal az eljárást az Európai Bizottság döntésének kézhezvételéig felfüggeszti.
(5) A kérelem pozitív elbírálásának feltételei
a) az Európai Bizottság arra vonatkozó szakvéleménye, hogy a beruházás demonstrációs projektnek minősülhet és
b) a (2) bekezdés szerinti adatok és dokumentumok benyújtása.
(6) A kötelező átvételi jogosultság a demonstrációs projektté nyilvánítás és beruházási támogatás elnyerése után igényelhető e rendeletben foglaltak szerint.
10. Záró rendelkezések
14. § (1) Ez a rendelet - a (2) bekezdésben foglalt kivétellel - a kihirdetését követő napon lép hatályba.
(2) A 15. § 2018. január 1-jén lép hatályba.
15. §[12] A megújuló energiaforrásból termelt villamos energia működési támogatásának mértékéről szóló 13/2017. (XI. 8.) MEKH rendelet módosításáról szóló 1/2022. (II. 10.) MEKH rendelettel (a továbbiakban: Mód.r.) megállapított 11. § (2a) és (2b) bekezdését a Mód.r. hatálybalépését megelőzően létrejött támogatási jogviszonyok, valamint megállapított egyéb működési támogatások tekintetében is alkalmazni kell, azzal, hogy a termelő bejelentési kötelezettségének határidejét a Mód.r. hatálybalépésétől kell számítani.
16. § Hatályát veszti a megújuló energiaforrásból termelt villamos energia működési támogatásának mértékéről szóló 17/2016. (XII. 21.) MEKH rendelet azzal, hogy rendelkezéseit a folyamatban lévő eljárásokban alkalmazni kell.
Dr. Dorkota Lajos s. k.,
elnök
1. melléklet a 13/2017. (XI. 8.) MEKH rendelethez[13]
2. melléklet a 13/2017. (XI. 8.) MEKH rendelethez[14]
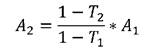
3. melléklet a 13/2017. (XI. 8.) MEKH rendelethez
A kötelező átvétel vagy prémium típusú támogatás időtartamának módosítása az igénybe vett egyéb támogatás módosulása esetén
A kötelező átvétel vagy prémium típusú támogatás módosított időtartamát az alábbi képlet segítségével kell kiszámolni:

Ahol
A1: a támogatás időtartama a módosítás előtt;
A2: a támogatás időtartama a módosítás után;
T1: a támogatás intenzitása a módosítás előtt;
T2: a támogatás intenzitása a módosítás után.
4. melléklet a 13/2017. (XI. 8.) MEKH rendelethez
A kiosztott támogatási jogosultság támogatástartalmának kiszámítása
1. A kiosztott támogatási jogosultság támogatástartalmát az alábbi képlet segítségével kell kiszámolni:

TT: támogatástartalom;
P0: a támogatás odaítélésekor aktuális kötelező átvételi ár vagy támogatott ár (Ft/kWh);
Pm: a villamos energia 2. pont szerinti piaci ára (Ft/kWh);
Q: a támogatás alá eső villamos energia éves mennyisége (kWh);
T: a támogatás időtartama (év)
i: az infláció a Magyar Nemzeti Bank kérelem beérkezésekor vett középtávú inflációs céljának középértéke szerint;
r: az európai uniós versenyjogi értelemben vett állami támogatásokkal kapcsolatos eljárásról és a regionális támogatási térképről szóló 37/2011. (III. 22.) Korm. rendelet 2. § 3. pont szerinti diszkont kamatláb aktuális értéke.
2. Az 1. pontban figyelembe vett piaci árat az alábbiak szerint kell meghatározni:

PHUPX: a hazai szervezett villamosenergia-piac kérelem beérkezésekor vagy a pályázati eljárás kiírásakor elérhető legutóbbi három havi "physical futures" jelentése szerinti, következő három naptári évre vonatkozó
aa) napelemes villamosenergia-termelők esetén csúcsidőszaki (PEAK_avg),
bb) egyéb villamosenergia-termelők esetén zsinór (BASE_avg)
havi átlagárainak egyszerű számtani átlaga (EUR/MWh).
XR: a Magyar Nemzeti Bank kérelem beérkezését vagy a pályázati eljárás kiírását megelőző egyéves időszakra közzétett napi euró devizaárfolyamainak egyszerű számtani átlaga.
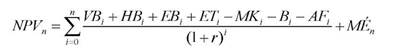
5. melléklet a 13/2017. (XI. 8.) MEKH rendelethez
A kötelező átvétel és a zöld prémium támogatási időtartamának meghatározása
A kötelező átvétel és a zöld prémium támogatási időtartamát az alábbi képlet segítségével kell kiszámolni:

ahol:
NPVn: a beruházás nettó jelenértéke az n. évben;
VBi: a villamos energia értékesítéséből elért árbevétel (prémium típusú támogatás esetén a prémiummal együtt) az i-edik évben;
HBi: a hőenergia értékesítésből elért árbevétel az i-edik évben;
EBi: a villamos energia és a hőenergia értékesítés árbevételén felüli, a projekthez kapcsolódó egyéb bevételek vagy megtakarítások az i-edik évben (pl. keletkezett melléktermékek értékesítése vagy felhasználása, a megtermelt energia saját felhasználásával elért megtakarítás);
ETi: a kötelező átvételen vagy prémium típusú támogatáson kívüli egyéb támogatások az i-edik évben;
MKi: működési költségek az i-edik évben (pl. energiahordozó költsége, személyi jellegű ráfordítások, biztosítás díja, karbantartás költsége);
Bi: beruházások az i-edik évben (az időszaki beruházások egyenletesen szétosztva);
AFi: fizetendő adók az i-edik évben;
MÉn: piaci villamosenergia-értékesítés melletti jövőbeli hozam alapján, a 6. melléklet szerint számított maradványérték az n-edik évre;
r: diszkontráta (a tőkeköltség hozamtényezője).
A "0." év a beruházás megkezdésének éve.
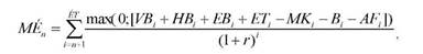
6. melléklet a 13/2017. (XI. 8.) MEKH rendelethez
Az n-edik évre vonatkozó maradványérték meghatározása
Az n-edik évre vonatkozó maradványértéket az alábbi képlet segítségével kell meghatározni:

ahol
A jelölések az 5. mellékletben alkalmazott jelölésekkel egyeznek meg, de értéküket a piaci villamosenergia-értékesítést figyelembe véve kell meghatározni. Az "ÉT" az adott termelőegység figyelembe vett élettartamát jelöli (de legfeljebb 25 év).
7. melléklet a 13/2017. (XI. 8.) MEKH rendelethez[15]
A barna prémium keretében adott támogatás mértéke
1. Biogázból (ide nem értve a hulladéklerakóból származó gázt és a szennyvízkezelő létesítményben előállított gázt) előállított villamos energia támogatott ára: 36,76 Ft/kWh.
2. Hulladéklerakóból származó gázból és a szennyvízkezelő létesítményben előállított gázból előállított villamos energia támogatott ára: 22,02 Ft/kWh.
Az 1. és a 2. pont szerinti támogatási mértékek nem vonatkoznak az alternatív barna prémium esetére.
8. melléklet a 13/2017. (XI. 8.) MEKH rendelethez
A barna prémium esetén alkalmazandó támogatott ár kiszámítása
A barna prémium esetén alkalmazandó támogatott árat az alábbi képlet segítségével kell meghatározni:

Ahol:
BPTi: A barna prémium támogatott ára az i-edik évben [Ft/kWh];
BPmax: A barna prémiumra egyéb jogszabályban meghatározott legmagasabb érték;
Pi: A hazai szervezett villamosenergia-piac i-edik évre vonatkozó baseload futures ára, mely a hazai szervezett villamosenergia-piac "i-2"-edik év szeptember - "i-1"-edik év augusztus időszakára közzétett baseload futures havi átlagárak számtani átlaga és az ugyanezen időszakra közzétett MNB HUF/EUR középárfolyamok számtani átlaga alapján számítandó ki;
Qi: A barna prémium keretében várhatóan értékesítésre kerülő éves villamosenergia-mennyiség az i-edik évben [kWh].
A többi jelölés magyarázata az 5. mellékletben szereplő magyarázatokkal egyezik meg.
9. melléklet a 13/2017. (XI. 8.) MEKH rendelethez
Az alternatív barna prémium kiszámítása
Az alternatív barna prémiumot a következő képlet segítségével kell kiszámolni:

A képletben az "f" felső index a fosszilis, a "b" felső index a biomassza tüzelésre utal.
A többi jelölés a 8. mellékletben alkalmazottal azonos.
10. melléklet a 13/2017. (XI. 8.) MEKH rendelethez[16]
11. melléklet a 13/2017. (XI. 8.) MEKH rendelethez[17]
Lábjegyzetek:
[1] Beiktatta a 18/2019. (XII. 23.) MEKH rendelet 1. §-a. Hatályos 2019.12.28.
[2] Hatályon kívül helyezte a 18/2019. (XII. 23.) MEKH rendelet 5. § a) pontja. Hatálytalan 2019.12.28.
[3] Hatályon kívül helyezte a 18/2019. (XII. 23.) MEKH rendelet 5. § a) pontja. Hatálytalan 2019.12.28.
[4] Hatályon kívül helyezte a 18/2019. (XII. 23.) MEKH rendelet 5. § a) pontja. Hatálytalan 2019.12.28.
[5] Hatályon kívül helyezte a 18/2019. (XII. 23.) MEKH rendelet 5. § a) pontja. Hatálytalan 2019.12.28.
[6] Megállapította a 18/2019. (XII. 23.) MEKH rendelet 2. §-a. Hatályos 2019.12.28.
[7] Megállapította a 18/2019. (XII. 23.) MEKH rendelet 2. §-a. Hatályos 2019.12.28.
[8] Beiktatta a 18/2019. (XII. 23.) MEKH rendelet 3. §-a. Hatályos 2019.12.28.
[9] Módosította a 15/2022. (XII. 15.) MEKH rendelet 1. §-a. Hatályos 2023.01.01.
[10] Beiktatta az 1/2022. (II. 10.) MEKH rendelet 1. §-a. Hatályos 2022.02.13.
[11] Beiktatta az 1/2022. (II. 10.) MEKH rendelet 1. §-a. Hatályos 2022.02.13.
[12] Beiktatta az 1/2022. (II. 10.) MEKH rendelet 2. §-a. Hatályos 2022.02.13.
[13] Hatályon kívül helyezte a 18/2019. (XII. 23.) MEKH rendelet 5. § b) pontja. Hatálytalan 2019.12.28.
[14] Hatályon kívül helyezte a 18/2019. (XII. 23.) MEKH rendelet 5. § c) pontja. Hatálytalan 2019.12.28.
[15] Megállapította a 15/2024. (XII. 18.) MEKH rendelet 1. §-a (ld. 1. melléklet). Hatályos 2025.01.01.
[16] Hatályon kívül helyezve a 2010. évi CXXX. törvény 12. §-a alapján.
[17] Hatályon kívül helyezve a 2010. évi CXXX. törvény 12. §-a alapján.